1단원 -2. 항등식과 나머지 정리 확인체크 / 연습문제 풀이
이번 글에서는 항등식과 나머지 정리를 중심으로, 다항식 나눗셈과 항등식 문제를 조립제법, 계수비교법, 수치대입법으로 풀이하는 방법을 다룹니다. 개념원리 교재의 확인체크와 연습문제 풀이를 통해 실전에서 활용할 수 있는 빠르고 정확한 풀이법을 익혀보세요.
"모바일 접속 시 함수가 보이지 않을 수 있습니다. 태블릿이나 컴퓨터 또는 chrome(크롬)을 이용해 접속해 주세요.
1. 확인체크 주요 문제 풀이
개념원리 공통수학 1 : 38p ~ 44p
설명할 문제 : 개념원리 41p 확인체크 64, 66번, 개념원리 44p 확인체크 72번
개념원리 41p 확인체크 64

최고차항이 만들어지는 조합 , 상수항이 만들어지는 조합을 구하고 $3x^2$이 만들어지는 항을 구하여 바로 a,b,c의 값을 구해주도록 합시다!
$\therefore a = 1, b = 3 , c = -2$
개념원리 41p 확인체크 66
$(x+1)(x^2-2)f(x) = x^4 + ax^2 - b$
$x = -1$ 대입 : $0 = 1 + a - b$
$x^2 = 2$ 대입 : $0 = 4 + 2a - b$
연립하면 $a = -3, b = -2$
$\therefore a + b = -5$
이 문제를 언급한 이유는, 우변이 $x^2$에 대한 식이기 때문에 반드시 $x$의 값을 대입할 필요 없이, $x^2$의 값을 한 번에 대입하는 아이디어와 사고 방식을 익히기 위함입니다.
개념원리 44p 확인체크 72번
조립제법을 연달아 하는 풀이를 바로 써줍니다. 원리도 꼭 아셔야 해요.
이전글의 개념원리 44p 발전예제 04 설명을 참고하도록 합시다.

$\therefore abcd = 14$
2. 확인체크 주요 문제 풀이
개념원리 공통수학 1 : 45p ~ 46p
설명할 문제 : 개념원리 45p 73번, 74번, 77번, 78번 /개념원리 46p 79번, 80번, 82번, 84번
개념원리 45p 연습문제 73번
$x^2 - x - 2 = a(x-b)^2 + c(x-b)$ $x$에 대한 항등식
크게 두가지 풀이 방법으로 풀어주도록 할께요.
풀이 1) 항등식의 미정 계수 풀이법 - 수치대입법 이용
$(x-b)$가 반복되므로 $x = b$ 대입
$b^2 - b - 2 = 0$, $(b-2)(b+1) = 0$, $b = 2$ 또는 $b = -1$
$\rightarrow b > 0$ 이므로 $\therefore b = 2$
풀이 2 :) 식의 꼴을 이용

$ (x-b)$가 $(x-2)$이거나 $(x+1)$
$\rightarrow b > 0$ 이므로 $\therefore b = 2$
답은 이미 나왔지만 그래도 다른 미지수 a,c의 값을 구해보면,
$(x-2)$ $(x+1)$ $= (x-2)$ $ \big(a(x-2) + c\big) $
항등식이므로 좌변과 우변의 식이 같기 위해서는
$x+1 = a(x-2) + c$
$x+1 = ax - 2a + c$
$\therefore a = 1$, $-2 + c = 1$, $c = 3$
또는 지난시간에 배운 조립제법과 내림차순 꼴의 항등식 파트를 이용해서 해석하면
$x^2 - x - 2 =$ $a$ $(x-2)^2 +$ $c$ $(x-2) +$ $0$
$(x-2)$가 내림차순꼴로 반복되어있으므로 조립제법을 연달아 해주면

$a=1$, $c=3$ 이라는 결론이 나옵니다.
$\therefore a= 1, b = 2, c = 3$
개념원리 45p 연습문제 74번
$P(x)$는 모르는 애니까 모르는 식을 제거해주는 풀이를 해보도록 하겠습니다.
$(x+1)(x-1)$이 0되는 $x$값 $-1, 1$을 대입
- $x = -1$ 대입 시:
$0 = 0 \cdot P(-1) - a + b \quad \therefore -a + b = 0$ - $x = 1$ 대입 시:
$6 = 0 \cdot P(1) + a + b \quad \therefore a + b = 6$ - 미지수 $a, b$ 2개, 식 2개이므로 연립해주면 $a = 3$, $b = 3$입니다.
$P(0)$의 값은?
$P(x)$의 $x$자리에 0이 들어갔으므로 식에 $x=0$을 대입해 줍니다.
$x(x+1)(x+2) = (x+1)(x-1)P(x) + 3x + 3$
- $x = 0$ 대입 시:
- $0 = -P(0) + 3$
- $\therefore P(0) = 3$
개념원리 45p 연습문제 77번
주어진 식을 보면, $P_1(x), P_2(x), P_3(x)$가 등장하므로 이 식을 먼저 써주도록 합시다.
$P_n(x) = (x-1)(x-2)\cdots(x-n)$으로 $P_n(x)$의 경우 $(x-1)$부터 $(x-n)$까지 곱
- $P_1(x) = (x-1)$
- $P_2(x) = (x-1)(x-2)$
- $P_3(x) = (x-1)(x-2)(x-3)$
최종 식 : $(2x-3)^3 = a + b(x-1) + c(x-1)(x-2) + d(x-1)(x-2)(x-3)$
반복되는 꼴이 있으므로 수치대입법을 이용해 주는데, 미지수 $a, b, c, d$ 4개이므로 식도 4개를 구해줘야 합니다.
즉, 4개의 수를 대입해줘야 합니다.
- $x = 1$ 대입 시
$(x-1) = 0$으로 $b(x-1), c(x-1)(x-2), d(x-1)(x-2)(x-3)$ 사라짐 - $-1 = a \quad \therefore a = -1$
- $x = 2$ 대입 시
$(x-2) = 0$으로 $c(x-1)(x-2), d(x-1)(x-2)(x-3)$ 사라짐 - $1 = a + b \quad \therefore b = 2$
- $x = 3$ 대입 시
$(x-3) = 0$으로 $d(x-1)(x-2)(x-3)$ 사라짐 - $27 = a + 2b + 2c$
- $\therefore c = 12$
- $x = 0$ 대입 (아무거나 가능, 미지수 4개 식 4개 필요)
- $-27 = a - b + 2c - 6d$
- $\therefore d = 8$
$\therefore P(0) = 3$
$a - b + c - d = (-1) - (2) + (12) - (8) = 1$
개념원리 45p 연습문제 78번
$x$에 대한 이차방정식 $x^2 + k(2p-3)x - (p^2-2)k + q + 2 = 0$입니다.
이 이차방정식이 ( 실수 $k$값에 관계없이 ) $1$을 근으로 가진다는 것은
( 실수 $k$값에 관계없이 ) $x=1$ 대입 시 성립한다고 해석할 수 있겠죠.!!
$x=1$ 대입
$1 + k(2p-3) - (p^2-2)k + q + 2 = 0$ ← 이 식은 실수 $k$값에 관계없이 성립
$k$에 대한 내림차순 정리 $\rightarrow ( )k + ( ) = 0$꼴

$-p^2 + 2p - 1 = -(p-1)^2 = 0 \quad \therefore p = 1$
$3 + q = 0 \quad \therefore q = -3$
$\therefore p + q = -2$
개념원리 46p 연습문제 79번
일정한 값을 $k$로 두고 식을 써줍니다.
$\frac{4x + ay + b}{x + y - 1} = k$
- 일정한 값 $k$를 $x, y$ 값에 관계없이 가진다
- $\Rightarrow x, y$에 대한 항등식
- $\Rightarrow x, y$에 대해 내림차순 정리
- (-----)$x + $ ( -----)$y + $ (-----) $= 0$ 정리
$4x + ay + b = k(x + y - 1)$
$\Rightarrow (4 - k)x + (a - k)y + (b + k) = 0$
- 0을 $0 = 0 \cdot x + 0 \cdot y + 0$ 꼴로 볼 수 있으므로
$4−k=0,a−k=0,b+k=0$
$\therefore k = 4, a = 4, b = -4$
다른 풀이 :)

식을 조금 더 관찰해 보면, "$x, y$ 값에 관계없이 일정한 값"을 가지기 위해서는 모든 계수의 비율이 같아 약분되어 $x, y$값이 제거되면 $x, y$에 어느 값을 넣어도 약분되어 제거되기 때문에 일정한 값을 가지게 됩니다.
주어진 $x$ 계수의 비율이 4배 된 것이므로 $y$와 상수항도 4배 해주면 $a = 4, b = -4$라는 것을 바로 알 수 있습니다.
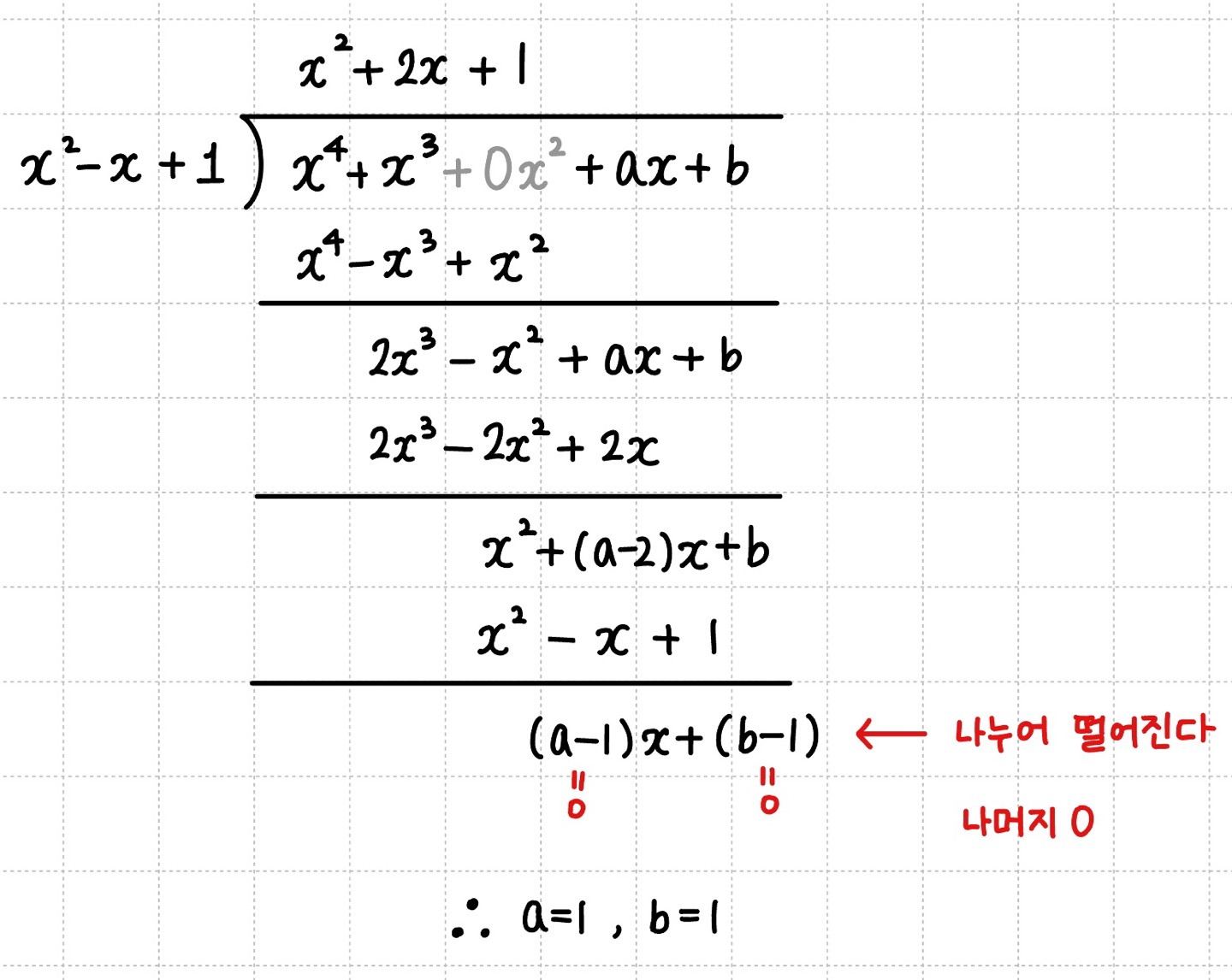
개념원리 46p 연습문제 80번
$Q(x)$는 모르는 애 입니다. 모르는 애를 제거하기 위해서는 $x^2 - x + 1$을 인수분해 하여 0이 되는 값을 대입해 줘야 하지만, 인수분해가 안되기 때문에 $Q(x)$의 식을 세워 계수비교법 이용해 줍니다.
$(\text{사차}) = (\text{이차}) \times (\text{이차})$ 이므로 $Q(x)$는 이차식이 됩니다.
확인이 쉬운 최고차 계수와 상수항 정도는 맞춰 바로 $Q(x)$를 세워주면 $x^2 + cx + b$ 라고 세울 수 있습니다.
이후 전개하여 계수비교법을 이용하여 줍니다.

다른풀이:)
$x^4 + x^3 + 0 \cdot x^2 + ax + b = (x^2 - x + 1) Q(x)$
계수들로만 생각하여 바로 $Q(x)$를 구해주셔도 됩니다.
$Q(x)$를 구하고 나면 필요한 $x$의 계수와 상수항의 계수만 한번 더 구해주시면 됩니다.

다른풀이 :)
직접 나누기를 이용하여 풀어주는 방법도 있습니다.
참고로 배웠던것을 복습해 보자면, $x^4, x^3, x^2$의 계수와 나누는 식의 계수가 모두 주어져 있으므로 직접 나누기를 이용하면 $Q(x)$를 구할 수 있습니다. 바로 이렇게 생각이 어려운 학생이라면 직접나누기를 하면서 어떤 계수들이 몫에 영향을 미치는지 생각하면서 해보도록 합시다!

개념원리 46p 연습문제 82번
자주 나오는 빈출 유형 입니다.
$ (3 + 2x - 4x^2)^3 = a_0 + a_1x + a_2x^2 + a_3x^3 + \cdots + a_6x^6 $
- $x = 1$ 대입
$1 = a_0 + a_1 + a_2 + a_3 + \cdots + a_6$ - $x = -1$ 대입
$-27 = a_0 - a_1 + a_2 - a_3 + \cdots + a_6$
추가 참고 :)
$x = 0$ 대입 $27 = a_0$
최고차 계수 비교 $ (- 4x^2)^3 = a_6x^6 $ 이므로 $-64 = a_6$
두 식을 연립해주면

$\therefore -13 = a_0 + a_2 + a_4 + a_6$
가끔 $a_2 + a_4 + a_6$ 를 묻는 경우도 있습니다. 습관적으로 문제 풀이를 하다가 $a_0$를 확인하지 못하고 답을 적는데 꼭 어떤 값의 합을 묻는지 꼼꼼히 확인하고 풀도록 합시다!!
▶ $a_2 + a_4 + a_6 = (a_0 + a_2 + a_4 + a_6) - (a_0) = ( -13 ) - ( 27 ) = -40$
추가로 $a_{\text{홀수}}$ 들의 합을 구하고 싶다면 두식을 빼주시면 됩니다.

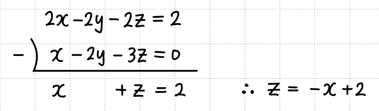
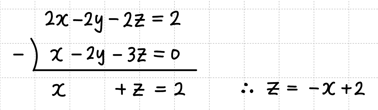
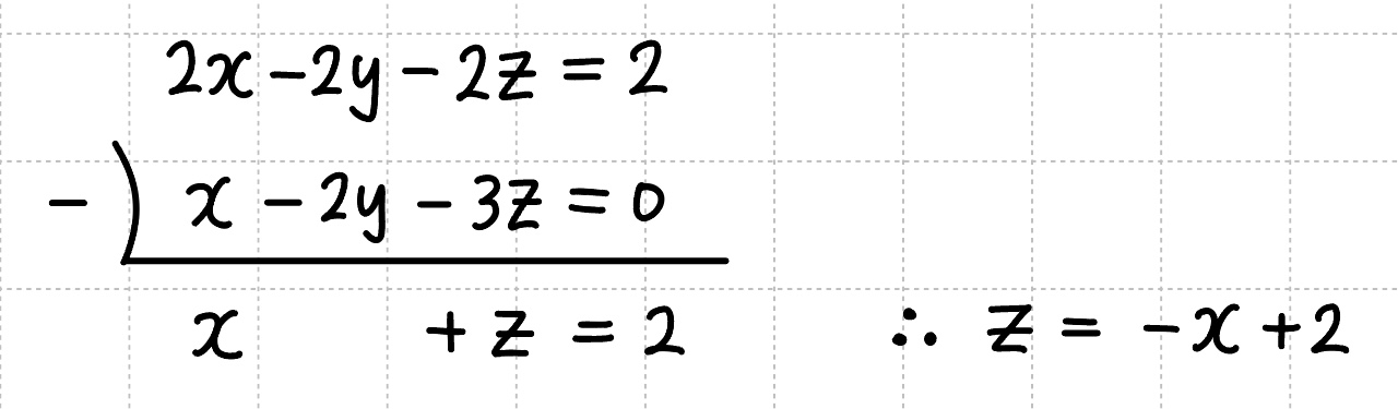
개념원리 45p 연습문제 83번
"모든 실수 $x, y, z$에 대하여 $\rightarrow$ $x, y, z$ 에 대한 항등식" 입니다.
$x - y - z = 1$과 $x - 2y - 3z = 0$은 $x, y, z$ 사이의 관계를 나타냅니다.
따라서, 이 관계를 만족하도록 $y$와 $z$를 $x$에 대해 표현한 뒤, 이를 주어진 식에 대입하여 $x$에 대한 내림차순 형태로 정리하면 됩니다.
- $x, y$ 관계 구하기 위해 $z$ 제거 $\rightarrow z$ 계수 맞춰줌

- $x, z$ 관계 구하기 위해 $y$ 제거 $\rightarrow y$ 계수 맞춰줌

(주어진 식 ) = $axy + byz + czx = 12$
$a x (2x - 3) + b (2x - 3)(-x + 2) + c (-x + 2)x = 12$
$2a x^2 - 3a x - 2b x^2 + 7b x - 6b - c x^2 + 2c x = 12$
- $x$에 대해 내림차순 정리
$(2a - 2b - c)x^2 + (-3a + 7b + 2c)x + (-6b - 12) = 0$
- 0을 $0 = 0 \cdot x^2 + 0 \cdot x + 0$ 꼴로 볼 수 있으므로
$2a - 2b - c = 0$, $-3a + 7b + 2c = 0$, $-6b - 12 = 0$
- 나온 결과를 연립해주면
$a = 6$, $c = 16$, $b = -2$
$\therefore a+b+c = 20 $
개념원리 45p 연습문제 84번
$ x^n(x^2 + ax + b) = (x - 3)^2 Q(x) + 3^n(x - 3) $
- $x-3$이 반복되므로, $ x = 3$ 대입
- $ \rightarrow 3^n(9 + 3a + b) = 0 $
- $ 3^n \neq 0$ 이므로 $9 + 3a + b = 0$ → $b = -3a - 9 $

이를 다시 처음 식에 적용해주고 $(x-3)$을 묶어주면
$ (x - 3)$ $x^n(x + a + 3)$ $= (x - 3)$ $ \large((x - 3)Q(x) + 3^n\large))$ 입니다.
$ x^n(x + a + 3) = (x - 3)Q(x) + 3^n $ 이므로
- $ x = 3$ 대입
$ 3^n(6 + a) = 3^n $
- 좌변과 우변이 같기 위해
$ 6 + a = 1 \quad \therefore a = -5 $
$ b = -3a - 9 \quad \therefore b = 6 $
$ \therefore ab = -30 $
다른풀이 :)
인수분해를 이용해도 좋지만, 다음글에서 배울 내용을 미리 이용해서 풀어보자면,
$9 + 3a + b = 0$를 구하는 과정 까지는 내용이 동일하지만, 해석하는 것이 차이가 있습니다.
$9 + 3a + b = 0$을 $x^2 + ax + b$ 에 $x = 3$ 대입 시 $0$이 된다 생각 할 수 있습니다.
그러면 인수정리에 의해 $x^2 + ax + b$가 $(x - 3)$을 인수로 가진다 할 수 있습니다.
즉, $ x^n(x^2 + ax + b) = (x - 3)\left(x - \frac{b}{3}\right)$ 로 최고차와 상수항 맞춰 바로 인수분해 가능
$ x^n(x^2 + ax + b) = (x - 3)^2 Q(x) + 3^n(x - 3) $
$x^n$ $(x-3)$ $\left(x - \frac{b}{3}\right) =$ $(x - 3)$ $\big((x - 3)Q(x) + 3^n\big)$
$x^n\left(x - \frac{b}{3}\right) = (x - 3)Q(x) + 3^n$
- $x = 3$ 대입
$3^n\left(3 - \frac{b}{3}\right) = 3^n$
$\therefore 3 - \frac{b}{3} = 1 \implies$ $b = 6$
$\Rightarrow (x - 3)\left(x - \frac{b}{3}\right) = (x - 3)(x - 2)$
$x^2 + ax + b = (x - 3)(x - 2)$ 인 것이므로 전개해주면 $a = -5$
$\therefore ab = -30$
"추가로 필요한 자료/ 문제에 대한 다른 풀이방법/ 글을 읽다 궁금한 점은 댓글로 남겨주세요!"
"이 블로그는 개념원리 교재를 참고하여 학습 내용을 정리하였으며, 저작권 보호를 위해 원문 문제는 제공하지 않고 제 풀이와 학습 팁을 중심으로 구성하여 독창적인 풀이와 함께 효율적인 학습 방법을 공유합니다."
'공통수학 1 개념' 카테고리의 다른 글
| 공통수학 1 - 1 - 12. 항등식과 나머지 정리 - 필수 예제 여러가지 풀이법 (4) | 2025.01.22 |
|---|---|
| 공통수학 1 - 1 - 11. 항등식과 나머지 정리 - 나머지 정리와 인수정리 (2) | 2025.01.20 |
| 공통수학 1 - 1 - 9. 항등식과 나머지 정리 - 다항식의 나눗셈과 항등식 (4) | 2025.01.18 |
| 공통수학 1 - 1 - 8. 항등식과 나머지 정리 - 항등식과 방정식 : 개념과 문제풀이법 (1) | 2025.01.15 |
| 공통수학 1 - 1 - 7. 다항식의 연산 RPM 주요 문제 풀이 (4) | 2025.01.13 |