1단원 - 1. 다항식의 연산 RPM 주요 문제 풀이
다항식의 연산은 고등학교 수학에서 필수적인 단원으로, 수능 기출 문제, 내신 대비, 모의고사 고난도 문제 해결에 꼭 필요한 지수 법칙, 분배 법칙, 곱셈 공식 등을 다룹니다. 이번 글에서는 RPM 수학 교재를 활용해 다항식 연산 주요 문제 풀이와 고등학교 내신 대비를 위한 필수 유형을 정리했습니다. 이를 통해 자주 등장하는 핵심 공식과 유형별 문제 풀이법을 익히고, 고난도 문제에도 자신감을 얻을 수 있습니다. 빠르게 복습이 필요한 학생이라면 아래의 문항만이라도 꼭 복습하도록 합시다.
RPM 공통수학 1 : 6p ~ 19p
설명할 문제 :
RPM 11p 53번
RPM 13p 13p 62번, 64번, 68번
RPM 15p 78번
RPM 16p 83번, 84번, 87번
RPM 17p 91번, 92번, 94번
RPM 18p 102번
RPM 19p 105번, 107번, 109번, 110번
"모바일 접속 시 함수가 보이지 않을 수 있습니다. 태블릿이나 컴퓨터 또는 chrome(크롬)을 이용해 접속해 주세요."
RPM 11p 53번
숫자 계산이 복잡하다면, 반복되는 수나 식은 하나의 문자로 치환 후 정리해 주도록 합시다.
$\left((5+2a)^3 - (5-2a)^3\right)^2 - \left((5+2a)^3 + (5-2a)^3\right)^2 = \left(A^3 - B^3\right)^2 - \left(A^3 + B^3\right)^2$
$5+2a$와 $5-2a$가 반복되므로 $5+2a = A$, $5-2a = B$라 치환해줍니다.

- $AB$ 값 계산:
$AB = \left(5+2a\right)\left(5-2a\right) = 25 - 4a^2 = -3 \quad \text{(여기서 $a^2 = 7$임으로 계산)}$ - 최종 계산:
$\left(A^3 - B^3\right)^2 - \left(A^3 + B^3\right)^2 = (-2B^3)(2A^3) = -4\left(AB\right)^3 = -4 \times \left(-27\right) = 108$
RPM 13p 62번
구하고자 하는 식을 먼저 보면

$A^2 + B^2 + C^2 = (A + B + C)^2 - 2(AB + BC + CA)$ 공식을 이용하는데, 천천히 괄호를 이용해 정리해 줍니다.

주어진 $a + b + c = 4$, $abc = -6$이므로 $ab + bc + ca$의 값만 구해주면 됩니다.
- $ab + bc + ca$ 값 구하는 과정
$(a + b + c)^2 = a^2 + b^2 + c^2 + 2(ab + bc + ca)$
$16 = 14 + 2(AB + BC + CA)$
$\therefore ab + bc + ca = 1$
- 최종계산 :
$(ab)^2 + (bc)^2 + (ca)^2 = (ab + bc + ca)^2 - 2abc(a + b + c)$
$= (1)^2 - 2(-6)(4)$
$= 1 + 48$
$= 49$
RPM 13p 64번
계산하는 과정이 복잡하니 여러번 반복하면서 구조를 보도록 합시다. 식을 정확히 쓰고 주어진 것과 구해야하는 것이 무엇인지 정확히 파악하며 문제를 풀어야 합니다.
구하고자 하는 식을 먼저 보면

$A^2 + B^2 + C^2 = (A + B + C)^2 - 2(AB + BC + CA)$ 공식을 이용하는데, 천천히 괄호를 이용해 정리해 줍니다.

$a^2 + b^2 + c^2 = 8$이므로 구해야 하는 것은 $a^2b^2 + b^2c^2 + c^2a^2$입니다.
$a^2b^2 + b^2c^2 + c^2a^2$ 구하는 과정 - RPM 62번 참고
$a^2b^2 + b^2c^2 + c^2a^2 = (ab + bc + ca)^2 - 2abc(a + b + c)$
이 식에서 $a + b + c = 0$ 이므로 $- 2abc(a + b + c)$ 항은 0 입니다. $ ab + bc + ca $의 값만 구해주면 됩니다.
$ ab + bc + ca $ 값 구하는 과정 - $a^2 + b^2 + c^2 = 8$, $a + b + c = 0$ 주어짐
$(a + b + c)^2 = a^2 + b^2 + c^2 + 2(ab + bc + ca)$
$0 = 8 + 2(ab + bc + ca)$
$\therefore ab + bc + ca = -4$
다시 식으로 돌아와서
$a^2b^2 + b^2c^2 + c^2a^2 = (ab + bc + ca)^2 - 2abc(a + b + c)$
$a^2b^2 + b^2c^2 + c^2a^2 = (-4)^2 - 2abc(a + b + c)$
$a^2b^2 + b^2c^2 + c^2a^2 = 16 - 0$
$\therefore a^2b^2 + b^2c^2 + c^2a^2 = 16$
최종계산:
$a^4 + b^4 + c^4 $
$= (a^2)^2 + (b^2)^2 + (c^2)^2 $
$= (a^2 + b^2 + c^2)^2 - 2(a^2b^2 + b^2c^2 + c^2a^2)$
$= 8^2 - 2(16)$
$= 64 - 32$
$= 32$
$\therefore a^4 + b^4 + c^4 = 32 $
RPM 13p 68번
수 자체로 전개해서 계산하셔도 되지만 문자로 치환 후 식을 정리해주고 계산해주면 조금 더 편리 할 수 있습니다.
수를 문자로 치환한 후 계산하는 과정을 해보면,
- $102 = a, \sqrt{105} = b$ 라 하면
$\frac{(a+b)^3 + (a-b)^3}{a} = \frac{(a^3 + 3a^2b + 3ab^2 + b^3) + (a^3 - 3a^2b + 3ab^2 - b^3)}{a}$
$= \frac{2a^3 + 6ab^2}{a}$
$= 2a^2 + 6b^2$
$= 2 \times 102^2 + 6 \times 105$
- 여기서, 일의 자리 숫자를 구하라 하였으므로 일의 자리 숫자만 계산을 해주면
$2 \times 102^2 + 6 \times 105 \approx 2 \times 2^2 + 6 \times 5 = 8 + 30 = 38$
따라서, 일의 자리 숫자는 $8$입니다.
$\therefore 8$
RPM 15p 78번
주어진 식 : $f(x) = (x - \frac{1}{2})Q(x) + R$
구하고자 하는 것 : $xf(x) = (2x - 1) \times 몫 + 나머지$ 식에서 몫과 나머지 구해야 함.
주어진식을 구하고자 하는 식의 꼴로 바꿔주기 위해 양변에 $x$를 곱해 좌변을 먼저 $xf(x)$로 바꿔줍니다.
$xf(x) = x \left( (x - \frac{1}{2})Q(x) + R \right)$
참고 :) $xf(x) = x(x - \frac{1}{2})Q(x) + R$ 이렇게 쓰지 않도록 주의해주세요.
우변의 전체에 $x$를 곱해줘야 합니다.
식을 전개하고 나누는 식 $2x - 1$이 보이도록 정리해 줍니다.

나누는 식 $2x - 1$로 일차인데, 나머지 $Rx$도 일차로 (나누는 식의 차수)=(나머지 차수)로 같게 됩니다.
이 경우에는 $Rx$가 $2x - 1$로 한 번 더 나눠지게 되므로 나머지로 보면 안됩니다.
$Rx$를 $2x - 1$로 한번 더 나누어 줌
직접 나누기 방법을 이용하셔도 되고, 좌변과 우변이 같아지게 식의 계수를 맞춰줘도 됩니다.

따라서,
$xf(x) = (2x - 1) \frac{1}{2} Q(x) + (2x - 1) \frac{R}{2} + \frac{R}{2}$
$= (2x - 1) \left( \frac{1}{2} Q(x) + \frac{R}{2} \right) + \frac{R}{2}$
결론적으로, 몫: $\frac{1}{2} x Q(x) + \frac{R}{2}$, 나머지: $\frac{R}{2}$
RPM 16p 83번
$a^2 + b^2 + c^2 - ab - bc - ca = \frac{1}{2} \left( (a-b)^2 + (b-c)^2 + (c-a)^2 \right)$
$a^2 + b^2 + c^2 + ab + bc + ca = \frac{1}{2} \left( (a+b)^2 + (b+c)^2 + (c+a)^2 \right)$
첫번째 공식이 많이 쓰이긴 하나, 이 문제는 두번째 공식을 사용한 문제입니다. 증명과정은 이전 글에서 했으므로 바로 두번째 공식을 사용해 풀이해 주도록 합시다.
$a^2 + b^2 + c^2 + ab + bc + ca $
$= \frac{1}{2} \left( (a+b)^2 + (b+c)^2 + (c+a)^2 \right)$
$= \frac{1}{2} \left( (3+\sqrt{2})^2 + (3-\sqrt{2})^2 + 4^2 \right)$
$= \frac{1}{2} \left( 9 + 6\sqrt{2} + 2 + 9 - 6\sqrt{2} + 2 + 16 \right)$
$= \frac{1}{2} \left( 38 \right)$
$= 19$
RPM 16p 84번
사용하는 곱셈 공식
$a^3 + b^3 + c^3 - 3abc = (a+b+c)(a^2 + b^2 + c^2 - ab - bc - ca) $
$a^2 + b^2 + c^2 - ab - bc - ca = \frac{1}{2} \left( (a-b)^2 + (b-c)^2 + (c-a)^2 \right)$
문제의 주어진 식 $a^3 + b^3 + c^3 - 3abc = 0$ 입니다.
$a^3 + b^3 + c^3 - 3abc = (a+b+c)(a^2 + b^2 + c^2 - ab - bc - ca) = 0$ 에서 $a+b+c = 15$ 이므로 $a^2 + b^2 + c^2 - ab - bc - ca$ 가 0이 되어야 합니다.
$a^2 + b^2 + c^2 - ab - bc - ca = \frac{1}{2} \left( (a-b)^2 + (b-c)^2 + (c-a)^2 \right) = 0$ 이므로 $a = b = c$라는 결론이 나오게 됩니다.
설명 :)
$(\text{어떤 수})^2 \geq 0$
: 어떤 수가 양수 또는 음수라면 제곱을 하면 양수, $0$을 제곱하면 $0$이므로 $(\text{어떤 수})^2$는 항상 $0$보다 크거나 같습니다.
$0$보다 크거나 같은 수 세 개를 더해 $0$이 나오기 위해서는 전부 $0$이어야 합니다.
즉 , $(a-b)^2 = 0, , (b-c)^2 = 0, , (c-a)^2 = 0$ 이므로
$a - b = 0, b - c = 0, c - a = 0$
$\therefore a = b = c$
다시 문제를 보면 $a+b+c = 3a = 15 , \therefore a = b = c = 5, abc = 5^3 = 125$
자주나오는 곱셈 공식이라 특징을 한번 더 정리해 보자면,
$a^2 + b^2 + c^2 - ab - bc - ca = 0$
$ \frac{1}{2} \left( (a-b)^2 + (b-c)^2 + (c-a)^2 \right) = 0$
위의 식이 나온 경우 결론은 $a = b = c$
RPM 16p 87번
혹시나 어렵다 느낄 수 있지만, 문제의 조건을 차근차근 식으로 정리하다보면 생각보다 많이 봤던 문제입니다.
문제에서 주어진 문장을 하나씩 식으로 바꿔봅니다.
- ‘세 정사각형 A, B, C 넓이의 합은 $75$’ $\rightarrow$ $a^2 + b^2 + c^2 = 75$
- ‘둘레의 길이 합은 $52$’ $\rightarrow 4a + 4b + 4c = 52$ $\therefore a + b + c = 13$
- ‘정사각형 A의 넓이를 $S_A$’ $\rightarrow S_A = a^2$
- ‘직사각형 D의 넓이를 $S_D$’ $\rightarrow S_D = (a+b)(a+c)$
‘$S_D - S_A$의 값을 구하시오’
$\rightarrow S_D - S_A = (a+b)(a+c) - a^2$
$= a^2 + ac + ba + bc - a^2$
$= ab + bc + ca$ =?
즉, $a^2 + b^2 + c^2 = 75$, $a + b + c = 13$을 주고 $ab + bc + ca$ 값을 구하는 문제입니다. 생각보다 간단하죠?
바로 공식을 이용해 계산해 줍니다.
$a^2 + b^2 + c^2 = (a+b+c)^2 - 2(ab+bc+ca)$
$75 = 13^2 - 2(ab+bc+ca)$
$\therefore ab + bc + ca = 47$
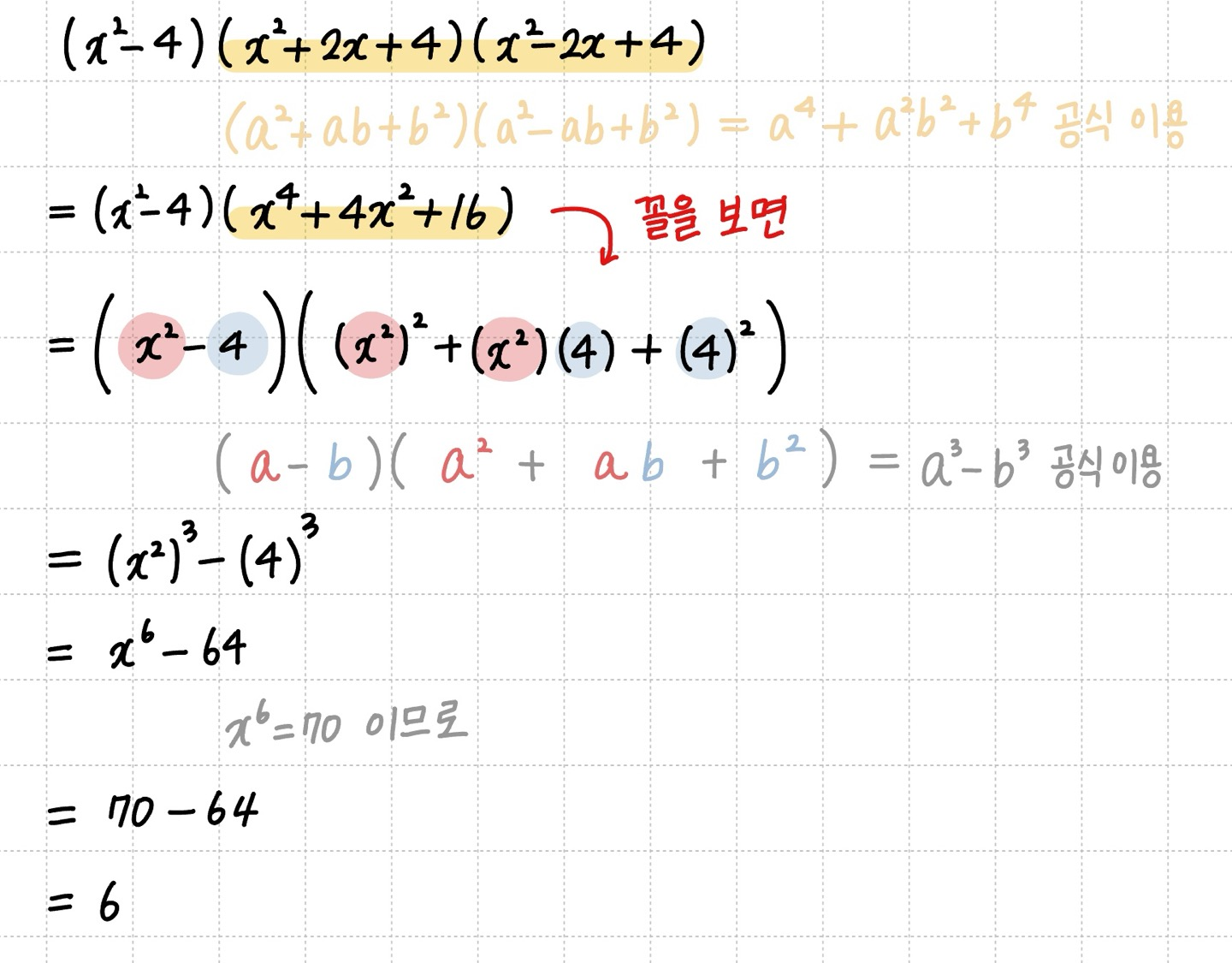
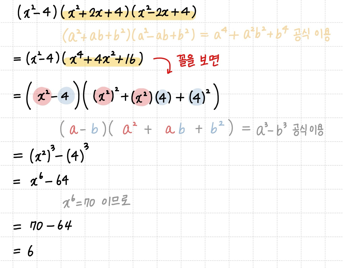
RPM 17p 91번
풀이법이 2가지가 있는데 공식 사용 순서를 설명해가며 풀이 하도록 할께요. 어떤 방법을 쓰셔도 좋습니다.
풀이1
$(x^2 - 4)(x^2 + 2x + 4)(x^2 - 2x + 4)$
- $a^2 - b^2 = (a-b)(a+b)$ 이므로 $x^2 - 4 = x^2 - 2^2 = (x-2)(x+2)$
$= (x-2)(x+2)(x^2 + 2x + 4)(x^2 - 2x + 4)$
$= (x-2)(x^2 + 2x + 4)(x+2)(x^2 - 2x + 4)$
- $(a-b)(a^2 + ab + b^2) = a^3 - b^3$, $(a+b)(a^2 - ab + b^2) = a^3 - b^3$ 이용
$= (x^3 - 8)(x^3 + 8)$
- $(a-b)(a+b) = a^2 - b^2$ 이용
$= (x^3)^2 - (8)^2$
$= x^6 - 64$
- $x^6 = 70$
$= 70 - 64$
$= 6$
풀이2
$(a^2 + ab + b^2) (a^2 - ab + b^2) = a^4 + a^2b^2 + b^4$ 공식 이용 후 $(a-b)(a^2+ab+b^2) = a^3-b^3$ 공식이용

RPM 17p 92번
- $(a+1)(a+2)(a+3)(a+4)$ 이렇게 괄호 4개가 있는 경우 2개씩 묶어서 먼저 전개해 줘야함
- 묶어서 전개해 줄때 공통부분이 생기도록 두개씩 묶기
- 이때 $a^2 + 5a - 1 = 0$이 주어져 있으므로 $a^2 + 5a = 1$ 을 이용가능한지 확인
일차항의 계수는 상수끼리 합! 이므로 아래와 같이 두개씩 묶어 정리 한 후 $a^2 + 5a = 1$을 이용해 계산 해 줍니다.

RPM 17p 94번
- $x^3 + \frac{1}{x^3} = \left( x + \frac{1}{x} \right)^3 - 3 \left( x + \frac{1}{x} \right)$
- $x + \frac{1}{x}$의 값만 구해주면 됨
중3 때 배운 유리화 기억나시죠?

그렇다면, $x + \frac{1}{x} = (3+2\sqrt{2}) + (3-2\sqrt{2}) = 6$ 입니다.
최종계산:
$x^3 + \frac{1}{x^3} = \left( x + \frac{1}{x} \right)^3 - 3 \left( x + \frac{1}{x} \right) = 6^3 - 3 \times 6 = 6 \times (36 - 3) = 6 \times 33 = 198$
$\therefore x^3 + \frac{1}{x^3} = 198$
RPM 18p 102번
문제를 읽으며 조건을 차근차근 식으로 바꿔적어 줍니다.

육면체에서 가로의 길이를 $a$, 세로의길이를 $b$, 높이를 $c$라고 미지수를 두고 식을 세워 볼께요.
- ‘겉넓이가 $148$’ $\rightarrow 2 (ab + bc + ca) = 148$ $\therefore ab + bc + ca = 74$
- ‘모서리 길이 합이 $60$’ $\rightarrow 4 (a+b+c) = 60$ $\therefore a + b + c = 15$

피타고라스 (직각 삼각형)을 이용하여 각각의 대각선 길이의 식을 세우면 위와 같습니다.
$\overline{BG}^2 + \overline{GD}^2 + \overline{DB}^2 = (a^2 + c^2) + (b^2 + c^2) + (a^2 + b^2)$ $= 2(a^2 + b^2 + c^2)$
주어진 조건은 $ab + bc + ca = 74$, $a + b + c = 15$ 이고, 구하고자 하는 것은 $2(a^2 + b^2 + c^2)$ 입니다.
$a^2 + b^2 + c^2 = (a+b+c)^2 - 2(ab+bc+ca)$
$= 15^2 - 2(74)$
$= 225 - 148$
$= 77$
이므로 $\overline{BG}^2 + \overline{GD}^2 + \overline{DB}^2 = 2(a^2 + b^2 + c^2) = 154$
RPM 19p 105번
$x^3 + 4x^2 + 5x + a = (x^2 + x + 2)Q(x)+0$
‘나누어 떨어진다’라는 말은 나머지가 $0$이라는 뜻입니다.
직접 나누기를 하여 나온 나머지가 $0$이 되도록 풀이하는 방법도 있고, 좌변과 우변이 같도록 $Q(x)$를 바로 세워줄 수도 있습니다. 바로 $Q(x)$의 식을 세우는 방법도 알아두면 정말 많이 쓰이니 직접나누기로 풀었었다면 이 풀이도 연습해 보도록 합시다.
좌변은 삼차식인데 우변의 나누는식이 이차식이므로 $Q(x)$는 일차식이어야 합니다. 일차식을 세울 때, 최고차 계수와 상수항을 맞춰 바로 세워 줄 수 있습니다.
이후 $x^2$과 $x$가 만들어 지는 항을 구하여 $a$값을 바로 구해줄 수 있습니다.

RPM 19p 107번
$(x+1)(x+2)(x+3)\cdots(x+10)$
‘전개식 하나의 항 = 각 괄호에서 하나씩 선택’입니다.
괄호가 $10$개 있으므로 $x^9$ 계수를 구해주기 위해 9개는 $x$를, 1개는 상수를 선택해 주면 됩니다.

$\therefore x^9$ 의 계수는 55
RPM 19p 109번
구하고자 하는 식의 차수가 높아 하나하나 $x$를 거듭제곱 해보며 계산하기에는 매우 귀찮습니다.
이럴때 차수 낮추기 풀이를 이용합니다.
'차수 낮춰주는 풀이'
- 우변에 루트 (또는 허수: 2단원에서 배울 예정)만 두고 나머지 이항
- 양변 제곱 후 '=0' 으로 정리
- 최고차항 표현 → 상쇄 + 남은 항 → 정리 반복
- 주어진 식 $x = \frac{1 - \sqrt{2}}{2}$에서 루트를 없애주기 위해
- 우변에 루트2만 남겨두고 이항 후 제곱해주면
- 루트가 사라지고 (이차)=0 꼴만 남게 됩니다.
분모에 2가 있더라도 당황하지 말고 천천히 이항 후 대입! 알겠죠 ?
$2x = 1 - \sqrt{2}$
$2x - 1 = -\sqrt{2}$
$4x^2 - 4x + 1 = 2$
$\therefore 4x^2 - 4x - 1 = 0$
이렇게 0 이라는 값을 이용하여 풀이1에서는 차수를 낮춰 주는 방법, 풀이2에서는 직접나누기를 이용해 나머지를 생각해주는 방법 두가지로 풀어보도록 하겠습니다.
풀이 1 ) 차수 낮추는 방법
$4x^2 - 4x - 1 = 0$이므로 $4x^2 - 4x - 1 $와 곱해지는 항은 제거하면서 식을 정리해 줍니다.
$8x^4 - 6x^2 - 6x + 5$
$= 2x^2(4x^2 - 4x - 1) + 8x^3 - 4x^2 - 6x + 5$
$= 2x(4x^2 - 4x - 1) + 4x^2 - 4x + 5$
$= (4x^2 - 4x - 1) + 6$
$= 6$
풀이2) 직접나누기를 이용하는 방법

$8x^4 - 6x^2 - 6x + 5 = (4x^2 - 4x - 1)(2x^2 + 2x + 1) + 6 =$ $0 + 6$
$4x^2 - 4x - 1 = 0$ 이므로 $ (4x^2 - 4x - 1)(2x^2 + 2x + 1) = 0 $으로 제거 됩니다.
즉, $8x^4 - 6x^2 - 6x + 5$의 값은 6이 됩니다.
이렇게 값이 0이 되는 식으로 나눠주면 (나누는식)X(몫)의 항이 통째로 0이 되므로 결국 나머지의 값만 구해주는 것이 됩니다. 이 풀이까지 꼭 기억해두도록 합시다.
RPM 19p 110번
주어진 조건 $(a+b+c)^2 = 2ab + 2bc + 2ca + 3$ 에서 두 가지를 얻을 수 있습니다.
$a+b+c = 3$ 대입 시
$(a+b+c)^2 = 2ab + 2bc + 2ca + 3$
$3^2 = 2ab + 2bc + 2ca + 3$
$6 = 2ab + 2bc + 2ca$
$\therefore ab + bc + ca = 3$
$(a+b+c)^2 - 2ab - 2bc - 2ca = 3$
$\therefore a^2 + b^2 + c^2 = 3$
$a^2 + b^2 + c^2$와 $ab + bc + ca$의 값이 같은 것을 알 수 있습니다.
$a^2 + b^2 + c^2 = ab + bc + ca$ 이면 $a = b = c$이고, 문제에서 $a+b+c = 3$ 라 하였으므로 $a = b = c = 1$입니다.
$(a^2 + 2ab - b^2)(b^2 - bc + 2c^2) = 4$
$\therefore \text{답 = } 4$
참고 )
$a^2 + b^2 + c^2 = ab + bc + ca$ 이면 $a = b = c$ 설명
$a^2 + b^2 + c^2 = ab + bc + ca$ 이면
$a^2 + b^2 + c^2 - ab - bc - ca = 0$
$\frac{1}{2} \left( (a - b)^2 + (b - c)^2 + (c - a)^2 \right) = 0$
- 0보다 크거나 같은 수인 제곱들의 합이 0이 되기 위해서는 각각이 0 되야함.
$a-b = 0, b-c = 0, c-a = 0$ 이므로 $a = b = c$
고등 내신에서는 시간이 부족한 경우가 많으니 $a^2 + b^2 + c^2$와 $ab + bc + ca$ 값이 같네? 하자마자 $a = b = c$ 두고 바로 풀어줄 수 있어야 합니다. 달달 외우기보다는 이 문제를 체크해두고 반복해서 풀어 자연스럽게 받아들이도록 합시다.
"추가로 필요한 자료/ 문제에 대한 다른 풀이 방법/ 글을 읽다 궁금한 점은 댓글로 남겨주세요!"
"이 블로그는 개념원리 교재를 참고하여 학습 내용을 정리하였으며, 저작권 보호를 위해 원문 문제는 제공하지 않고 제 풀이와 학습 팁을 중심으로 구성하여 독창적인 풀이와 함께 효율적인 학습 방법을 공유합니다."
'공통수학 1 개념' 카테고리의 다른 글
| 공통수학 1 - 1 - 9. 항등식과 나머지 정리 - 다항식의 나눗셈과 항등식 (4) | 2025.01.18 |
|---|---|
| 공통수학 1 - 1 - 8. 항등식과 나머지 정리 - 항등식과 방정식 : 개념과 문제풀이법 (1) | 2025.01.15 |
| 공통수학 1 -1 - 6. 다항식의 연산 확인체크 - 연습문제 풀이 (2) | 2025.01.11 |
| 공통수학 1 - 1 - 5. 다항식의 연산 - 다항식의 나눗셈 (3) | 2025.01.09 |
| 공통수학 1 -1 - 4. 다항식의 연산 - 곱셈 공식의 변형 (4) | 2025.01.07 |