1단원 -1. 다항식의 연산 확인체크 / 연습문제 풀이
이번 글에서는 배운 개념을 정리하고 주요 예제 문제를 다양한 풀이법으로 풀어보며 학습을 점검하겠습니다. 같은 문제도 풀이 방법에 따라 효율성이 달라지기 때문에, 다양한 접근법을 익히는 것이 중요합니다. 이를 통해 문제 해결 능력을 키우고, 실전에서 더 빠르고 정확하게 문제를 풀 수 있도록 대비해 봅시다.
1-1. 확인체크 주요 문제 풀이
개념원리 공통수학 1 : 10p ~ 32p
설명할 문제 : 개념원리 24p 확인체크 26번, 24p 확인체크 27번, 30p 확인체크 39번
"모바일 접속 시 함수가 보이지 않을 수 있습니다. 태블릿이나 컴퓨터 또는 chrome(크롬)을 이용해 접속해 주세요."
개념원리 24p 확인체크 26번
$x = \sqrt{2} + 1, , y = \sqrt{2} - 1$
각각을 제곱, 세제곱 등을 하게 되면 $(a-b)^2 = a^2 - 2ab + b^2$ 등 항이 점점 늘어나기 때문에 계산의 편리를 위해 미지수 값이 a-b, a+b 형태로 나온 경우 저희는 켤레 관계라고 하고 하나씩 대입하기 보다는 $x + y , , x - y , xy $ 값을 이용할 준비를 하셔야합니다.
★☆point ★☆
미지수 값 a-b, a+b 형태 (켤레 관계) → $x + y , , x - y , xy $ 값 이용
$x + y = 2\sqrt{2}, , x - y = 2, xy = 1$
이를 이용하여 주어진 식의 값을 구해줍니다.
$x^4y - xy^4 $
$= xy(x^3 - y^3)$
$= xy {(x-y)^3 + 3xy(x-y)}$
$= 1 {8 + 6} = 14$
개념원리 24p 확인체크 27번
이 문제는 곱셈공식 변형글에서도 잠시 언급한 적이 있는데 가끔 학생들이 다른 공식을 써서 틀리길래 언급해 봅니다.
- $a^2 + b^2 = (a + b)^2 - 2ab = (a - b)^2 + 2ab$
- $a^2$과 $b^2$ 사이가 +
- 음수든 양수든 제곱을 하게 되면 전부 +로 바뀌게 됩니다.
- $a^3 + b^3 = (a + b)^3 - 3ab(a + b)$
$a^3 - b^3 = (a - b)^3 + 3ab(a - b)$ - 세제곱을 하게 되면 음수는 음수, 양수는 양수 부호가 유지 됩니다.
- $ (a + b)$를 세제곱하게 되면 $a^3$ 과 $b^3$ 중간이 +
$ (a - b) $를 세제곱 하게 되면 $a^3$ 과 $b^3$ 중간이 -
$a^2$과 $b^2$ 사이가 - 인 공식은 $ a^2 - b^2 = (a+b)(a-b) $입니다. 헷갈리지 않도록 주의해 주세요!
$x^3 + \frac{1}{x^3} $
$= \left(x + \frac{1}{x}\right)^3 - 3\left(x + \frac{1}{x}\right)$
위의 식에서 $x + \frac{1}{x} $을 구해줘야 합니다.
$x^2 - \frac{1}{x^2} = \left(x - \frac{1}{x}\right)\left(x + \frac{1}{x}\right)$
$8\sqrt{3} = 2\sqrt{3} \cdot \left(x + \frac{1}{x}\right)$
$\therefore x + \frac{1}{x} = 4$
값을 대입하여 계산을 마무리 해줍니다.
$= 64 - 12 = 52$
개념원리 30p 확인체크 39번
직접 나눠서 몫과 나머지를 구해줘도 되지만, 여러가지 풀이법을 익혀두도록 합시다.
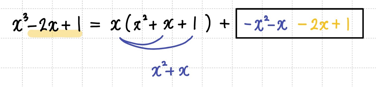
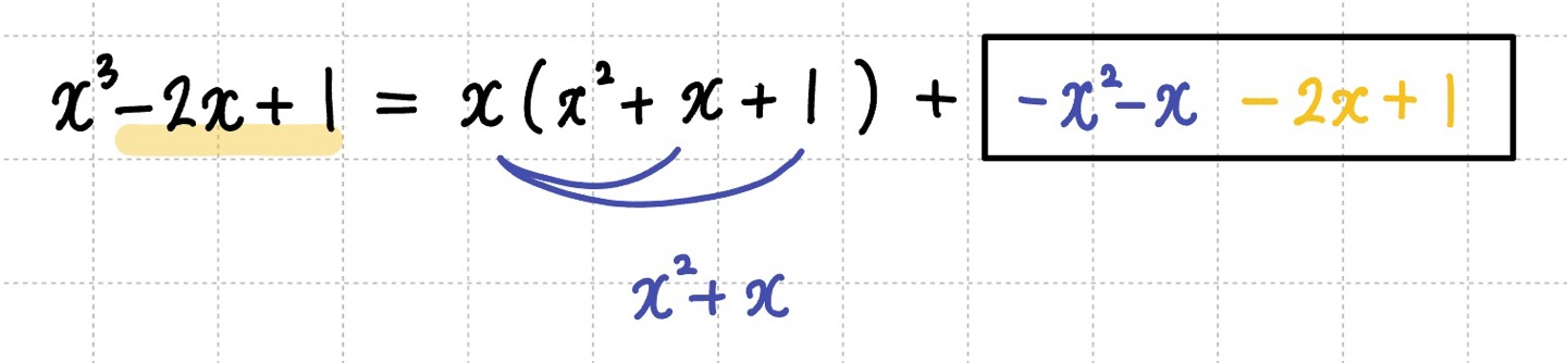
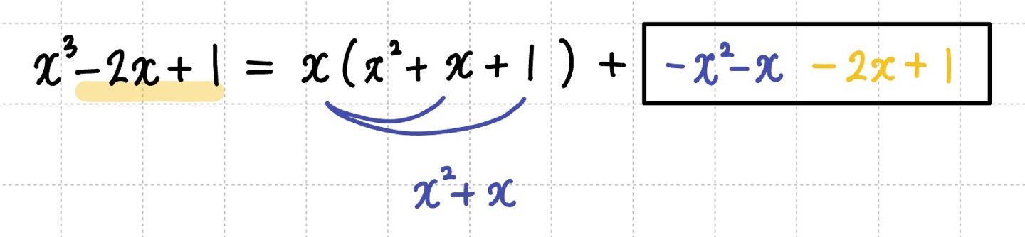
식만 정리해서 (주어진식)=(나누는식)(몫)+(나머지) 꼴로 정리하는 방법입니다. $(x^2 + x + 1)$로 묶어줘야 하기 때문에 이를 이용해 정리해주는 방법을 배워 볼께요. 이 풀이는 나중에 다른단원에서 '차수 낮춰주는 풀이'로도 쓰이니 꼭 이해하고 넘어가도록 합시다.

- 최고차 $x^3$을 표현하기 위해 $x$ 곱하기 $(x^2 + x + 1)$를 해줍니다.
- 그러면 $x^2 + x$ 항이 추가가 됨
- 좌변과 우변의 값이 같아야 하기 때문에, 추가된 것을 상쇄하기 위해 $-x^2 - x$를 더해줍니다.
- 그 후, 좌변에 남아 있는 $-2x + 1$을 추가해 줍니다.

- 정리해 주면,
$x^3 - 2x + 1 = x(x^2 + x + 1) - x^2 - 3x + 1$
- 마찬가지로 뒤에 남아있는 $-x^2 - 3x + 1$ 항도 $(x^2 + x + 1)$로 표현이 가능하므로 한 번 더 식을 변형
$x^3 - 2x + 1 = x(x^2 + x + 1) - (x^2 + x + 1) - 2x + 2$
- $(x^2 + x + 1)$로 묶어서 정리해 주는데, ac-bc=(a-b)c=c(a-b) 꼴을 잘보면서 묶어줍시다!
$x^3 - 2x + 1 = x$ $(x^2 + x + 1)$ $-$ $(x^2 + x + 1)$ $ - 2x + 2$
$x^3 - 2x + 1 = $ $(x^2 + x + 1)$ $(x - 1) - 2x + 2$
즉 , $x^3 - 2x + 1$ 을 $(x^2 + x + 1)$ 로 나누었을 때 몫 $(x - 1)$ , 나머지 $ - 2x + 2$ 입니다.
$Q(x) = x - 1, R(x) = -2x + 2$
$Q(3) = 2, , R(-1) = 4$ 이므로 $Q(3) + R(-1) = 6$
식의 값은 유지한체 정리해줘야 합니다. 심화문제에서도 유용하게 쓰이니 연습해주시는게 좋아요.
1-2. 연습문제 풀이
개념원리 공통수학 1 : 33p ~ 35p
설명할 문제 : 개념원리 연습문제 33p 45번, 48번, 49번/ 개념원리 연습문제 34p 51번, 53번, 54번/ 개념원리 연습문제 35p 56번, 57번, 59번, 60번
개념원리 연습문제 33p 45번
첫번째 괄호 기준 case 분류해서 풀도록 합시다.

- $ x^2 $ 의 계수를 확인하라 하였으므로 첫번째 괄호기준 case 분류를 바로 해줍니다.
- $ x^3 $의 경우 다른 어떤 항과 곱하더라도 $ x^2 $을 만들수는 없습니다.
- 이후 각각의 케이스에서 $ x^2 $ 만들어지는 항을 적고 계산하여 답을 구해 줍니다.
Q. 처음부터 $ 6x^2 $, $12x$ , $8$ 만 적고 풀면 안되나요 ?
case분류를 하기전에, $x^3$이 $x^2$을 만들지 못한다고 판단하고 가능한 것들만 case분류 하자 생각을 했다면 가능합니다.
하지만 위의 풀이처럼 문제를 보자마자 첫번째 괄호 기준 case분류 하자 했다면 다 써주고 푸는 것이 좋습니다.
즉, '판단 후 case분류'와 'case분류 후 판단' 둘 다 어느것이든 상관없지만, 두 과정을 한꺼번에 하는 것은 비추천합니다.
지금 case 분류하는 과정이 너무 쉬워서 한번에 많이 하는데, 지금 따로 생각하는 것을 연습해 놔야 나중에 심화 문제에서 풀이가 꼬이지 않고 문제를 체계적으로 풀 수 있습니다.
개념원리 연습문제 33p 49번에서는 '판단 후 case분류' 하는 과정으로 풀어보도록 하겠습니다. 풀이를 비교하면서 봐주세요 ^^
(정리)
case 분류란 하나의 기준으로 가능한 모든 경우를 나누어 각 경우를 따로따로 고려해 주는 방법입니다.
생략하다보면 심화문제에서 풀이가 꼬일 수도있고, 그렇다면 case 분류를 해주는 의미가 없어지기 때문에 문제를 체계적으로 해결하고 모든 상황을 빠짐없이 파악해주기 위해 꼭 하나의 기준으로 모든 경우를 봐주도록 연습해주세요!
개념원리 연습문제 33p 48번
$2x - 1$로 나누기 때문에 $2x - 1 = 0$, $x = \frac{1}{2}$ 이므로 맨 왼쪽에 있는 수 $k = \frac{1}{2}$ 입니다.

$\text{몫} = x^2 + 3, , \text{나머지} = -2$
차근차근 조립제법을 한 후에 조립제법의 결론을 적고, 관점바꾸기를 해주시면 됩니다.
식을 쓸 때는 항상 등호가 성립하도록 식의 값을 유지한체 써주도록 합시다.
개념원리 연습문제 33p 49번
$x^5$ 항은 어차피 $7x^6, \dots, 100x^{99}$ 항과 곱해서는 나올 수 없음→ 생략해서 적어줌
즉, $x^5$ 항만 궁금하다면 $(1 + 2x + 3x^2 + \cdots + 100x^{99})^2 \approx (1 + 2x + 3x^2 + 4x^3 + 5x^4 + 6x^5)^2$
이렇게 식을 봐도 된다는 뜻입니다.

이렇게 먼저 $x^5$이 가능한 항을 판단 후 case 분류를 해주었습니다.
항이 여러개라 바로 첫번째 괄호 기준 case 분류를 하게 되면 너무 많아지겠죠? 그래서 판단 후 case 분류를 해주는 풀이로 풀어 보았습니다. 위의 개념원리 연습문제 33p 45번 풀이와 한번은 꼭 비교해 보시길 바랍니다.
개념원리 연습문제 34p 51번

구하고자 하는 식의 꼴이 대칭 되어있습니다. 상반 대칭 다항식이라 하는데, 이 경우 주요 개념은 곱셈공식의 변형을 사용하는 것입니다. 나중에 상반 방정식을 배우기도 하니 꼴을 꼭 기억해둡시다.
상반 대칭 다항식 : 식의 꼴이 대칭
주요 사용 개념 : 곱셈 공식 변형
→ 나중에 배울 상반 방정식과 풀이 과정이 같음
주어진 식의 경우 아래와 같이 변형시켜 줍니다.
$x^2 + 3x + 1 = 0$
$x + 3 + \frac{1}{x} = 0$
$\therefore , x + \frac{1}{x} = -3$
(구하고자 하는 식)을 정리해 주도록 할께요.

식을 이어 써갈때 괄호를 꼭 잘 쓰도록 합시다. 식이 길어져도 정확하게 이어나갈 수 있어야 합니다!!
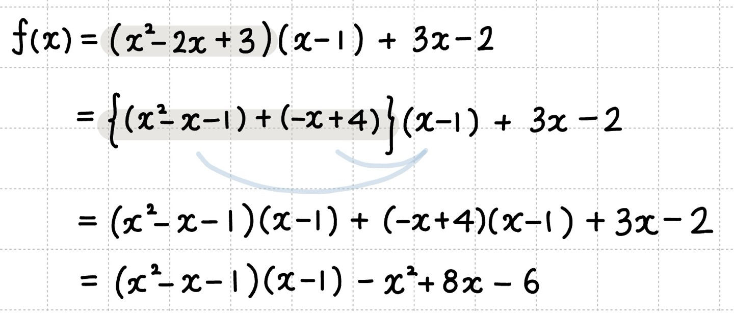
개념원리 연습문제 34p 53번
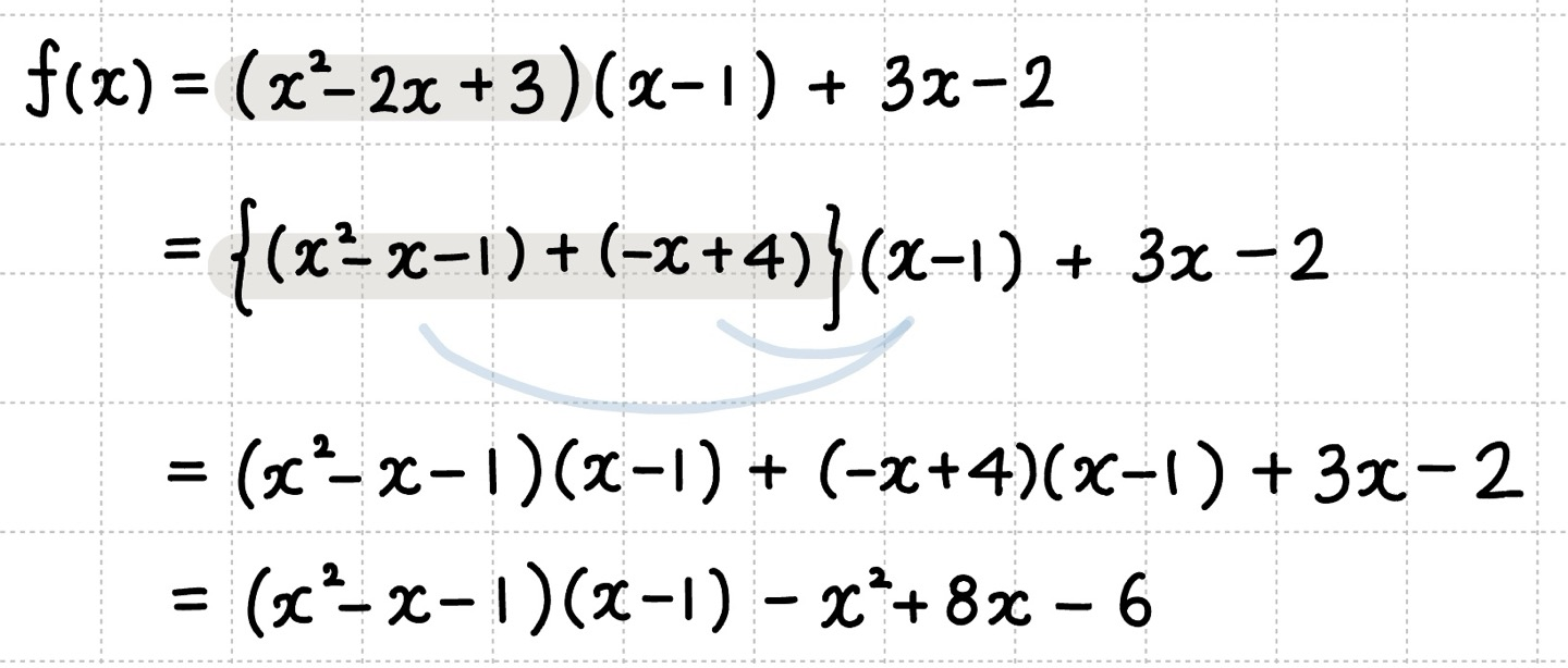
$f(x) = (x^2 - 2x + 3)(x - 1) + 3x - 2$
문제를 다 읽으면서 f(x)를 ~로 나누었을 때 몫이~, 나머지가~ 라는 멘트가 나오면 이 식을 바로 적을 수 있어야 합니다.
여기서 구하고자 하는 것은 $ (x^2 - x - 1) $으로 나누었을 때 몫과 나머지를 구하는 것인데, 위의 식을 전개해서 직접 나누는 방법을 사용하셔도 되고 주어진 식을 바로 변형 시키는 방법도 있습니다. 값은 유지, 등호 성립하게 식변형을 해주셔야 합니다.
- $f(x) =$ $(x^2 - 2x + 3)$ $(x - 1) + 3x - 2$
- 이 식을 먼저, 나누는 식에서 $(x^2 - x - 1)$ 이 보이도록 식을 정리해 줍니다.
- 이후 (a+b)c = ac +bc를 이용해서 전개해 주도록 할께요.

- 이 상황에서, $(x^2 - x - 1)$을 나누는 식으로 보면 나누는 식은 2차 나머지도 $-x^2 + 8x - 6$이 2차
- (나누는 식의 차수) > (나머지 차수) 성립 안함.
- 즉, 한 번 더 나눌 수 있다는 것이죠.
나머지를 $(x^2 - x - 1)$로 한 번 더 표현 해보도록 할께요.

나누는 식 $(x^2 - x - 1)$, 몫 $(x - 2)$, 나머지 $+ 7x - 7$로, 나누는 식이 2차식이고 나머지가 1차식임이라 (나누는 식의 차수) > (나머지 차수) 성립 한다는 것을 확인할 수 있습니다.
몫과 나머지의 합을 구하라 하였으므로 $(x - 2) + 7x - 7 = 8x -9 $
$\therefore $ $ 8x -9$
개념원리 연습문제 34p 54번

문제를 읽으면 이 식이 주어진 것을 알 수 있습니다.
주어진 $f(x)^2$를 $(x^2+1)$로 나눈 나머지를 구해야 합니다.
- 식의 양변을 제곱하여 좌변을 $f(x)^2$ 보이도록 정리
- 우변은 $(x^2+1)$이 보이도록 묶어 나누는식, 몫, 나머지 관점 보이게 정리
(실전 풀이) - 이해 안되면 밑에 풀이 읽고 다시 읽어보기
양변을 제곱할 때 좌변은 $f(x)^2$
우변은 $(x^2+1)Q(x)$를 $a$로, $(x+1)$을 $b$로 보면, $(a+b)^2 = a^2 + 2ab + b^2$ 꼴
- 여기서 $a$는 $(x^2+1)$ 이므로 $a^2 + 2ab$ 항들은 $(x^2+1)$로 나누어떨어집니다.(또는 $(x^2+1)$로 묶인다 생각해주셔도 됩니다.)
따라서 $b^2$만 나머지로 남게 됩니다. - $b^2 = (x+1)^2 = x^2 + 2x + 1$인데, 나누는 식 $(x^2+1)$은 2차식이고, 나머지도 $x^2 + 2x + 1$로 2차입니다.
따라서 나머지를 한 번 더 나누어야 합니다. - $x^2 + 2x + 1 = (x^2+1) + 2x$로 표현되며, 최종 나머지는 $2x$가 됩니다.
이렇게 풀이를 하셔도 되고 이해가 좀 어려운 분들은 아래의 식 풀이를 보시고 다시 위의 설명을 봐주세요.
같은 설명이지만 굳이 식을 쓰지 않더라도 바로 나머지를 구할 수 있어야 합니다.
(식 정리 풀이) - 원리 이해
주어진 $f(x)^2$를 양변 제곱하면 $(a+b)^2 = a^2 + 2ab + b^2$ 형태가 됩니다.

- 여기서 나누는식 몫 나머지 관점으로 보기에는 나누는식이 2차, 나머지도 2차이기 때문에 나머지가 한번 더 나눠 진다는 것을 알 수 있습니다. ( 또는 나머지가 $(x^2+1)$로 한번더 표현 가능하다는 것을 알 수 있습니다.)
- 나머지 $x^2 + 2x + 1 = (x^2 + 1) + 2x$
- 이후 나누는 식 $x^2+1$로 함께 묶어 줍니다.

- 나누는 식이 2차이고 나머지는 1차이므로 나누는식, 몫, 나머지 관계가 성립 합니다.
$\therefore R(x) = 2x, \quad R(3) = 6$
개념원리 연습문제 35p 56번
$a^7 + b^7$ 공식을 모르는데, 어떻게 구하지 ? 했을 수 있습니다. 지수법칙을 생각하며 강제로 해당하는 항을 만들어 주고 필요없는 항을 빼주면서 구할 수 있습니다. $a^5 + b^5$ 도 자주 나와 같이 정리해 두었습니다.

$a^7 + b^7$을 보면, 구하고자 하는 것은 $a^3 + b^3$ , $a^4 + b^4$, $ab$입니다. 각각을 주어진 조건으로 구해볼께요.
1. $ab$ 값 구하기
$(a+b)^2 = a^2 + 2ab + b^2$
$1 = 5 + 2ab$
$\therefore -2 = ab$
2. $a^3 + b^3$ 값 구하기
$a^3 + b^3 = (a+b)^3 - 3ab(a+b)$
$= 1 + 6 = 7$
$\therefore a^3 + b^3 = 7$
3. $a^4 + b^4$ 값 구하기
$a^4 + b^4 = (a^2 + b^2)^2 - 2(a^2b^2)$
$= (a^2 + b^2)^2 - 2(a^2b^2)$
$= 25 - 8$
$= 17$
$\therefore a^4 + b^4 = 17$
최종답 $a^7 + b^7$ 값 구하기
$a^7 + b^7$
$= (a^3 + b^3)(a^4 + b^4) - a^3b^3(a+b)$
$= 7 \times 17 - (-2)^3(1)$
$= 119 - (-8)$
$= 127$
$\therefore a^n + b^n = 127$
개념원리 연습문제 35p 57번
$a + b + c = 2$를 $b + c = 2 - a$, $a + c = 2 - b$, $a + b = 2 - c$로 변형하여 식을 정리하는 것이 포인트 입니다.
이렇게 변형을 자주 하니 기억하도록 합시다 ! (관련문제 : RPM 49번)
$(a+b+c)^2 + (-a+b+c)^2 + (a-b+c)^2 + (a+b-c)^2$
$= 2^2 + (2 - 2a)^2 + (2 - 2b)^2 + (2 - 2c)^2$
$= 4 + (4 - 8a + 4a^2) + (4 - 8b + 4b^2) + (4 - 8c + 4c^2)$
$= 4(a^2 + b^2 + c^2) - 8(a+b+c) + 16$
$= 4\left((a+b+c)^2 - 2(ab+bc+ca)\right) - 8(a+b+c) + 16$
$= 4 \left( 4 - 2(-1) \right) - 8(2) + 16$
$= 4 \cdot 6$
$= 24$
개념원리 연습문제 35p 59번
내접원의 넓이:
$\text{넓이} = \pi r^2 = \frac{\pi}{4} \quad \therefore , r = \frac{1}{2}$

- 큰원의 반지름 길이는 4 , 작은 원의 반지름 길이는 $\frac{1}{2}$ 이렇게 정리가 됩니다.
- 큰원의 반지름=선분OA=선분OP=4입니다.
사각형 IOHP에 대해 더 자세하게 보도록 할께요.

- 문제에서 선분PH, 선분PI에 대해 물었으므로 미지수 $x,y$를 잡아줍니다.
- 피타고라스를 이용해 관련 식을 하나 뽑아줍니다.
- 추가로 구하고자 하는 것은 $x^3 + y^3$이 되게 됩니다.

내접원 반지름과 내접원 특징을 이용해서 선분IH길이가 4라는 점을 이용해 $x, y$ 관련식을 한개 더 뽑아 줍니다.
- 이제 $x^2 + y^2=16$ , $x + y=5$ 를 이용해서 $x^3 + y^3$ 값을 구해주면 됩니다.
$x^2 + y^2 = (x+y)^2 - 2xy$
$16 = 25 - 2xy$
$\therefore xy = \frac{9}{2}$
$x^3 + y^3 = (x+y)^3 - 3xy(x+y)$
$= 125 - \frac{27}{2}(5)$
$= \frac{250}{2} - \frac{135}{2}$
$= \frac{115}{2}$
$\therefore x^3 + y^3 = \frac{115}{2}$
개념원리 연습문제 35p 60번
'차수 낮춰주는 풀이'를 하도록 해보겠습니다.
- 우변에 루트 (또는 허수: 2단원에서 배울 예정)만 두고 나머지 이항
- 양변 제곱 후 '=0' 으로 정리
- 최고차항 표현 → 상쇄 + 남은 항 → 정리 반복
30p 확인체크 39번 풀이를 참고하고 오시면 더 구조가 잘 보일듯 합니다^^
$x = 1 + \sqrt{7}$을 제곱하면 $x^2 = 1 + 2\sqrt{7} + 7 = 8 + 2\sqrt{7}$
식이 더 복잡해집니다. 루트를 제거하기 위해 우변에는 $\sqrt{7}$만 남겨두고 좌변으로 모두 이항한 후 제곱합니다.
이항하여 제곱하는 풀이는 '차수낮추는 풀이'에서 많이 쓰이는데
$x - 1 = \sqrt{7}$
$(x - 1)^2 = 7$
$x^2 - 2x + 1 = 7$
$x^2 - 2x - 6 = 0$
여기서 $x^2 - 2x - 6 = 0$ 값이 0 이라는 것에 초점을 맞추어 풀이를 2가지로 풀이 할 것입니다.
sol 1 > 0의 값을 이용해 식의 차수 낮추는 방법

- 이렇게 0과 곱해지는 항은 제거되면서 차수가 낮아집니다.
sol 2 > 직접 나누기를 이용하는 방법

직접 나눠 (나누는 식)X(몫)+(나머지) 꼴로 바꿔 준 후 $x^2 - 2x - 6 = 0$이므로 (나누는 식)X(몫)=0 으로 나머지만 남게 됩니다. 이 식을 얻기 위해 직접 나누기 방법을 해줬던 것 입니다.
두가지 풀이 다 알아 두시길 바랍니다.
1-3. 추가자료
개념 정리 자료 ( 한글파일 / pdf)
이 파일로 수업내용을 한번 간단하게 핵심 요약 정리를 해보시고 백지 테스트를 해보도록 합시다.
"추가로 필요한 자료/ 문제에 대한 다른 풀이 방법/ 글을 읽다 궁금한 점은 댓글로 남겨주세요!"
"이 블로그는 개념원리 교재를 참고하여 학습 내용을 정리하였으며, 저작권 보호를 위해 원문 문제는 제공하지 않고 제 풀이와 학습 팁을 중심으로 구성하여 독창적인 풀이와 함께 효율적인 학습 방법을 공유합니다."
'공통수학 1 개념' 카테고리의 다른 글
| 공통수학 1 - 1 - 8. 항등식과 나머지 정리 - 항등식과 방정식 : 개념과 문제풀이법 (1) | 2025.01.15 |
|---|---|
| 공통수학 1 - 1 - 7. 다항식의 연산 RPM 주요 문제 풀이 (4) | 2025.01.13 |
| 공통수학 1 - 1 - 5. 다항식의 연산 - 다항식의 나눗셈 (3) | 2025.01.09 |
| 공통수학 1 -1 - 4. 다항식의 연산 - 곱셈 공식의 변형 (4) | 2025.01.07 |
| 공통수학 1 - 1 - 3. 다항식의 연산 - 곱셈 공식 증명 유도와 예제 문제 풀이 (2) | 2025.01.06 |