1단원-1. 다항식의 연산 - 곱셈 공식 증명/유도
수학 문제 풀이에서 다항식의 전개는 매우 중요한 과정입니다. 곱셈 공식을 정확히 알고 활용하면 식을 깔끔하게 전개하고 효율적으로 문제를 풀 수 있습니다. 곱셈 공식을 증명/유도 하는 과정을 따라 적으며 연습해보고 문제를 풀 때 공식이 자연스럽게 떠오를 수 있게 해봅시다.
개념원리 공통수학 1 : 17p ~ 21p
"모바일 접속 시 함수가 보이지 않을 수 있습니다. 태블릿이나 컴퓨터 또는 chrome(크롬)을 이용해 접속해 주세요."
1-1. 곱셈 공식
$(1) \quad (a+b)^2 = a^2 + 2ab + b^2, \quad (a-b)^2 = a^2 - 2ab + b^2$
$(2) \quad (a+b)(a-b) = a^2 - b^2$
$(3) \quad (x+a)(x+b) = x^2 + (a+b)x + ab$
$(4) \quad (ax+b)(cx+d) = acx^2 + (ad+bc)x + bd$
$(5) \quad (x+a)(x+b)(x+c) = x^3 + (a+b+c)x^2 + (ab+bc+ca)x + abc$
$\quad (x-a)(x-b)(x-c) = x^3 - (a+b+c)x^2 + (ab+bc+ca)x - abc$
$(6) \quad (a+b+c)^2 = a^2 + b^2 + c^2 + 2ab + 2bc + 2ca$
$(7) \quad (a+b)^3 = a^3 + 3a^2b + 3ab^2 + b^3, \quad (a-b)^3 = a^3 - 3a^2b + 3ab^2 - b^3$
$(8) \quad (a+b)(a^2-ab+b^2) = a^3 + b^3, \quad (a-b)(a^2+ab+b^2) = a^3 - b^3$
$(9) \quad (a+b+c)(a^2+b^2+c^2-ab-bc-ca) = a^3 + b^3 + c^3 - 3abc$
$(10) \quad (a^2+ab+b^2)(a^2-ab+b^2) = a^4 + a^2b^2 + b^4$
혹시나 너무 많아서 암기를 못하겠다고 하는 친구들이라면 아래의 공식만 형광펜 쳐두고 암기하셔도 됩니다. 아주 조금 줄어들었죠? 더는 못 줄이니까 이거는 꼭 외우기!! 그리고 그냥 달달 외우기 보다는 문제를 풀때 적용된 공식을 한번씩 써보면서 암기하는 것을 추천합니다.
$(1) \quad (a+b)^2 = a^2 + 2ab + b^2 $
$(2) \quad (a+b)(a-b) = a^2 - b^2$
$(5) \quad (x+a)(x+b)(x+c) = x^3 + (a+b+c)x^2 + (ab+bc+ca)x + abc$
$(6) \quad (a+b+c)^2 = a^2 + b^2 + c^2 + 2ab + 2bc + 2ca$
$(7) \quad (a+b)^3 = a^3 + 3a^2b + 3ab^2 + b^3 $
$(8) \quad (a+b)(a^2-ab+b^2) = a^3 + b^3, \quad (a-b)(a^2+ab+b^2) = a^3 - b^3$
$(9) \quad (a+b+c)(a^2+b^2+c^2-ab-bc-ca) = a^3 + b^3 + c^3 - 3abc$
$(10) \quad (a^2+ab+b^2)(a^2-ab+b^2) = a^4 + a^2b^2 + b^4$
1-2. 곱셈 공식 유도
곱셈 공식을 유도하는 과정은 단순히 전개해보는 것입니다. 이전 글에서 언급한 1-2. 다항식의 곱셈에서 다항식의 분배법칙을 이용해 전개해 나가는 것 입니다.
$(1) \quad (a+b)^2 = a^2 + 2ab + b^2, \quad (a-b)^2 = a^2 - 2ab + b^2$ 공식 유도

이렇게 분배법칙을 이용해 하나씩 전개해 보도록 할께요.
$(2) \quad (a+b)(a-b) = a^2 - b^2$ 공식 유도
$(a + b)(a - b) = a^2 - ab + ab - b^2 = a^2 - b^2$
$(3) \quad (x+a)(x+b) = x^2 + (a+b)x + ab$ 공식 유도
$(x + a)(x + b)$
$= x^2 + bx + ax + ab$
$= x^2 + (a + b)x + ab$
$(4) \quad (ax+b)(cx+d) = acx^2 + (ad+bc)x + bd$ 공식 유도
$(ax + b)(cx + d)$
$= acx^2 + adx + bcx + bd$
$= acx^2 + (ad + bc)x + bd$
$(5) \quad (x+a)(x+b)(x+c) = x^3 + (a+b+c)x^2 + (ab+bc+ca)x + abc$ 공식 유도

$(6) \quad (a+b+c)^2 = a^2 + b^2 + c^2 + 2ab + 2bc + 2ca$ 공식 유도
$ (a+b+c)^2 $
$=(a+b+c)(a+b+c)$
$=(a^2+ab+ac)+(ab+b^2+bc)+(ac+bc+c^2)$
$=a^2+b^2+c^2+2ab+2bc+2ca$
$(7) \quad (a+b)^3 = a^3 + 3a^2b + 3ab^2 + b^3, \quad (a-b)^3 = a^3 - 3a^2b + 3ab^2 - b^3$ 공식 유도
$ (a+b)^3 $
$= (a+b)(a+b)(a+b)$
2개 먼저 전개
$=(a+b)(a^2+2ab+b^2)$
$=(a^3+2a^2b+ab^2)+(ba^2+2ab^2+b^3)$
$=a^3+3a^2b+3ab^2+b^3$
$ (a-b)^3 $
$= (a-b)(a-b)(a-b)$
2개 먼저 전개
$=(a-b)(a^2-2ab+b^2)$
$=(a^3-2a^2b+ab^2)+(-ba^2+2ab^2-b^3)$
$=a^3-3a^2b+3ab^2-b^3$
$(8) \quad (a+b)(a^2-ab+b^2) = a^3 + b^3, \quad (a-b)(a^2+ab+b^2) = a^3 - b^3$ 공식 유도
$ (a+b)(a^2-ab+b^2) $
$= (a^3-a^2b+ab^2)+(ba^2-ab^2+b^3)$
$= a^3 + b^3 $
$ (a-b)(a^2+ab+b^2) $
$= (a^3+a^2b+ab^2)+(-ba^2-ab^2-b^3)$
$= a^3 - b^3 $
$(9) \quad (a+b+c)(a^2+b^2+c^2-ab-bc-ca) = a^3 + b^3 + c^3 - 3abc$ 공식 유도
$ (a+b+c)(a^2+b^2+c^2-ab-bc-ca)$
$=(a^3+ab^2+ac^2-a^2b-abc-a^2c)+(a^2b+b^3+bc^2-ab^2-b^2c-abc)+(a^2c+b^2c+c^3-abc-bc^2-c^2a)$
$=a^3+b^3+c^3-3abc$
$(10) \quad (a^2+ab+b^2)(a^2-ab+b^2) = a^4 + a^2b^2 + b^4$ 공식 유도
$(a^2+ab+b^2)(a^2-ab+b^2)$
$((a^2+b^2)+ab)((a^2+b^2)-ab)$ ← $(a+b)(a-b) = a^2 - b^2$ 공식 이용
$=(a^2+b^2)^2-(ab)^2$
$=a^4+2a^2b^2+b^4-a^2b^2$
$=a^4+a^2b^2+b^4$
1-3. 예제문제
예제문제를 풀면서 공식 기본형을 꼭 한번씩 써보면서 연습해 보시길 바랍니다. 그렇게 연습하다보면, 나중에 배울 인수분해 과정에서 식의 꼴이 바로 보여 전개된 식을 다시 묶어주는 인수분해 과정에서도 편할꺼에요.
설명할 문제 : 개념원리 19p 필수예제 04, 개념원리 18p 14-(2), 개념원리 20p 필수예제 05, 개념원리 21p 확인체크 17번
개념원리 19p 필수예제 04-(1)

- $(6) \quad (a+b+c)^2 = a^2 + b^2 + c^2 + 2ab + 2bc + 2ca$ 공식 문제입니다. 공식을 꼭 써보며 공부합시다!
- 각 항을 먼저 동그라미 쳐서 하나로 생각해주는 것이 제일 먼저 입니다. a,b,c가 보이게 먼저 정리해주세요. - 부호 같은 경우 묶어서 생각해준다는 것은 앞글에서 했었죠 ?
- 이후 각항을 제곱해서 적고 2곱하기 웃음(^-^) 만들기!! (첫번째 줄의 빨간색 (1),(2),(3)을 보면 ^-^모양이지 않나요 ? )
계산실수가 많이 나는 학생이라면 괄호를 이용해서 적어주시고 정리하도록 해주세요! 괄호쓰는게 익숙하지 않은 학생들이라 어디에 괄호를 써야 할지 모르겠다면 동그라미 대신 괄호를 쓴다 생각해주면 됩니다.
차근차근 빨라 질테니 너무 처음부터 한번에 답을 내려고 하지말고, 괄호를 이용해 공식 꼴이 보이게 정리하면서 공부해주세요.
개념원리 19p 필수예제 04-(2)

- $(7) \quad (a+b)^3 = a^3 + 3a^2b + 3ab^2 + b^3 $ 공식 문제입니다.
- 각 항을 먼저 동그라미 쳐서 하나로 생각
- 괄호를 이용해 공식 구조로 적어 주고 정리해 주면 됩니다.
개념원리 19p 필수예제 04-(3)

- $(5) \quad (x+a)(x+b)(x+c) = x^3 + (a+b+c)x^2 + (ab+bc+ca)x + abc$ 공식 문제입니다.
- a, b, c 가 보이게 동그라미를 쳐줍니다.
- $x^3$ 을 먼저 쓰고, $x^2$ 의 계수는 한 개씩 더해주고, $x$ 의 계수로는 두 개씩 웃음($^-^$) 모양으로 곱한 각각을 더해주고, 상수항으로는 세 개를 다 곱한 것을 적어주시면 됩니다.
개념원리 19p 필수예제 04-(4)
주어진 식에서 한 항의 부호만 다르고 다른 것은 모두 같으므로 $(10) \quad (a^2+ab+b^2)(a^2-ab+b^2) = a^4 + a^2b^2 + b^4$ 공식을 이용한 문제입니다.
즉, 주어진 식을 $ (a^2+ab+b^2)(a^2-ab+b^2) $ 꼴로 봐줘야 해요.

- a,b에 해당하는 항을 동그라미 쳐주고 괄호를 이용해 공식 적용을 해줍니다.
- 이후 계산하여 정리
회색글씨처럼 $ (a^2+ab+b^2)(a^2-ab+b^2) $ 꼴이 보이게 정리 하는 과정을 꼭 해주세요!! 계산실수가 많이 나는 유형입니다.
너무 어렵더라도 자꾸 연습하다보면 눈에 보일테니 반복 ! 또 반복! 하도록 해주세요.
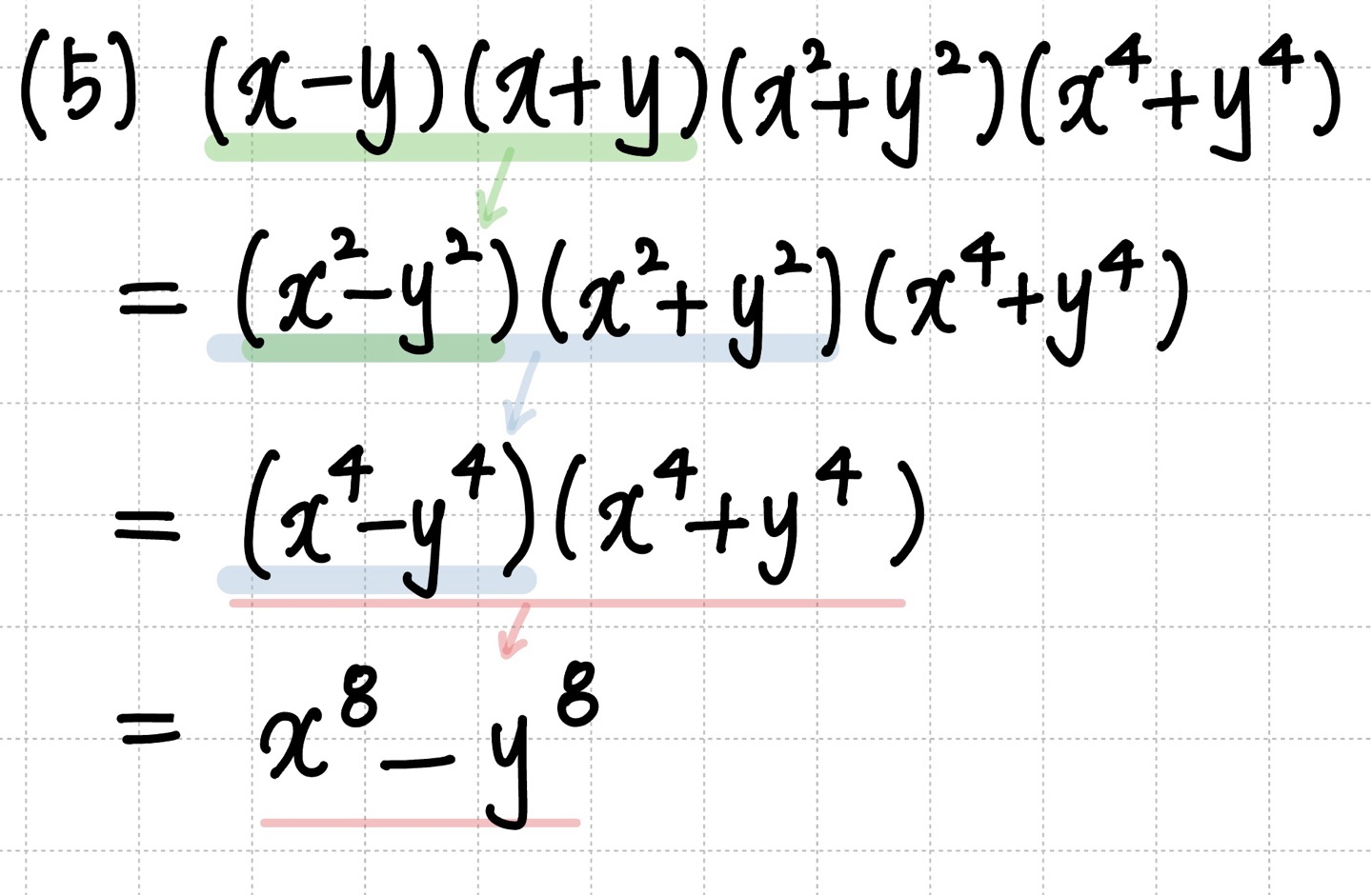
개념원리 19p 필수예제 04-(5)
$(2) \quad (a+b)(a-b) = a^2 - b^2$ 공식을 여러번 쓰는 유형이에요.

- 1번째 줄에서 2번째 줄 : $(a+b)(a-b) = a^2 - b^2$ 에서 $ a=x, b=y $로 봐줍니다.
- 2번째 줄에서 3번째 줄 : $(a+b)(a-b) = a^2 - b^2$ 에서 $ a=x^2, b=y^2 $으로 봐줍니다.
- 3번째 줄에서 4번째 줄 : $(a+b)(a-b) = a^2 - b^2$ 에서 $ a=x^4, b=y^4 $으로 봐줍니다.
조금 어렵거나 틀렸다면, $ (x^4 + y^4)(x^4 - y^4) = (x^4)^2 - (y^4)^2 = x^8 - y^8 $ 이렇게 중간중간 적어가보면서 해보는 것을 추천합니다.
개념원리 19p 필수예제 04-(6)

- 1번째 줄에서 2번째 줄 : $(2) \quad (a+b)(a-b) = a^2 - b^2$ 공식 사용
- 2번째 줄에서 3번째 줄 : $(8) \quad (a+b)(a^2-ab+b^2) = a^3 + b^3, \quad (a-b)(a^2+ab+b^2) = a^3 - b^3$ 공식 사용
두개의 공식을 사용해야하는 문제 입니다. 공식의 꼴이 보이도록 괄호를 이용해 적어주고 계산하도록 연습해주세요.
★☆★☆
$(a$ $+$ $b)(a^2$ $-$ $ab+b^2) = a^3$ $+$ $b^3$
$(a$ $-$ $b)(a^2$ $+$ $ab+b^2) = a^3$ $-$ $b^3$
(8)번 공식의 경우
앞이 +면 (중간은 -) 결론도 +
앞이 -이면 (중간은 +) 결론도 -
앞의 괄호 부호를 따라가니 주의 해주세요.
개념원리 18p 14-(2)
$(9) \quad (a+b+c)(a^2+b^2+c^2-ab-bc-ca) = a^3 + b^3 + c^3 - 3abc$ 공식을 이용하는 문제가 없어서 하나 추가로 가져와봤습니다.

복잡할 수 있지만, 동그라미 또는 괄호를 이용해 공식의 꼴이 보이도록 정리하면서 연습하다보면 나중에는 이공식이구나! 바로 보일 수 있으니 꼭 공식이 보이도록 적은 후 대입하는 연습을 하도록 하세요.
저는 공식을 적용할때 아직도 괄호를 한번 쓴 후 정리를 합니다.
남들은 "머리로 계산하고 정리하는 과정을 한번에 생각"할때, 저는 그냥 "(3번째 줄)괄호이용해서 적는데 집중 -> (4번째 줄)계산하는데 집중" 이렇게 나눠서 처리하다보니 속도나 정확성에서 오히려 더 좋았던 것 같아요. 물론 쉬운 공식은 바로바로 하는 편입니다. ( 계산과 정리가 남들보다 더 빠르게 바로바로 되는 학생이라면 아주 좋습니다. 무조건 이렇게 하라는 건 아니에요.)
개념원리 20p 필수예제 05

주어진 식을 전개하여 동류항끼리 정리할 때 특정한 꼴의 식은 곱셈 공식을 이용하여 전개 할 수 있지만 곱셈공식을 사용할 수 있는 특정 꼴이 아닌 경우 그나마 조금 더 효율적으로 전개하는 방법을 이문제를 통해 배워보도록 할께요.
(1)번 문제 풀이 :
$ (x^2 + x + 2)(x^2 + x - 4) $식을 하나하나 전개해도 되지만, $ x^2 + x $ 공통부분이 있기 때문에 $ X = x^2 + x $ 치환하여 전개해 주는 방법을 이용해 보도록 할께요.
$ (x^2 + x + 2)(x^2 + x - 4) $
- $ X = x^2 + x $ 치환
$= (X + 2)(X - 4) $
- 전개
$ = X^2 - 2X - 8 $
- $ X = x^2 + x $ 치환 한것을 다시 대입
$ = (x^2 + x)^2 - 2(x^2 + x) - 8 $
- 각각을 전개
$ = (x^2)^2+2 (x^2) (x) +(x)^2 - 2(x^2) - 2(x) - 8 $
- 정리
$ = x^4 + 2x^3 + x^2 - 2x^2 - 2x - 8 $
- 동류항끼리 정리
$ = x^4 + 2x^3 - x^2 - 2x - 8 $
(2)번 문제 풀이 :
전개를 하나하나 다하면 힘들고 오래걸리니까 공통부분이 생기도록 두개씩 짝지어 줄 것입니다.
$(x+a)(x+b) = x^2 + (a+b)x + ab$ 에서
좌변의 상수항끼리의 합 = 우변의 $x$의 계수
좌변의 상수항끼리의 곱 = 우변의 상수항
인 것을 알 수 있습니다. 그렇다면, 두개씩 묶어서 먼저 전개를 해 줄 때 $x$의 계수 또는 상수항의 계수를 같게 전개를 해주면 공통 부분이 생긴다는 것을 알 수 있습니다. 자주 나오니 꼭 기억하도록 합시다.
$(x-1)(x-2)(x+3)(x+4)$
- 두개씩 먼저 전개를 해주려고 하는데, -1+3=2이고 -2+4=2 로 상수항끼리의 합을 같게 , 즉 전개했을 때 $x$의 계수가 같게 전개 가능
$= (x-1)(x+3)(x-2)(x+4)$
- $(x-1)(x+3)$끼리 전개, $(x-2)(x+4)$끼리 전개 해줌
$= (x^2 + 2x - 3)(x^2 + 2x - 8) $
- $x^2 + 2x $ 공통 부분을 X로 치환
$= (X - 3)(X - 8) $
$= X^2 - 11X + 24 $
- $(X = x^2 + 2x) $ 치환한것을 다시 대입
$= (x^2 + 2x)^2 - 11(x^2 + 2x) + 24 $
$= x^4 + 6x^3 + 4x^2 - 11x^2 - 22x + 24 $
- 동류항끼리 정리
$= x^4 + 6x^3 - 7x^2 - 22x + 24$
개념원리 21p 확인체크 17번
주의해야할점 : 등호가 성립 되게 세로로 식을 적어가며 풀이 해주기
항상 등호를 이용해 위에 쓴식과 아래에 쓰는 식의 값이 같은지 생각해주면서 문제 풀이를 해야합니다. 제 풀이 과정을 보면 =를 쓰면서 밑에 식을 정리하고 또 다음줄에 =를 쓰면서 식을 정리하고.. 이 과정이 반복되는 것을 알 수 있습니다.
처음에는 오래걸리고 힘들겠지만, 이 습관을 가지면 계산실수를 덜하게 되고 속도도빨라지며, 시험때 검산하기도 편하니 꼭 연습하시길 바랍니다.
풀이 :
$(5+1)(5^2+1)(5^4+1)(5^8+1)$
$=$ $ \frac{1}{4} (5-1)$ $(5+1)(5^2+1)(5^4+1)(5^8+1)$
- $(2) \quad (a+b)(a-b) = a^2 - b^2$공식 사용을 위해 $(5-1)$을 곱해주고 싶은데 위의 식이랑 비교 해보았을 때 그냥 곱해주게 되면 원래 값에 4가 곱해진 값을 갖게 됩니다. 그러면 위의 식과 아래의 식이 같다라는 등호를 쓸 수 없게 되겠죠 ?
- 그래서 역수인 1/4 를 곱해서 위의 식과 아래의 식을 같게 만들어 줍니다.
$=$ $\frac{1}{4}$ $(5^2 - 1)(5^2 + 1)$ $(5^4 + 1)(5^8 + 1)$
$=$ $\frac{1}{4}$ $(5^4 - 1)$ $(5^4 + 1)$ $(5^8 + 1)$
$=$ $\frac{1}{4}$ $(5^8 - 1)$ $(5^8 + 1)$
$=$ $\frac{1}{4}$ $(5^{16} - 1)$
답 : $= \frac{1}{4}(5^{16} - 1)$
이렇게 수에서도 곱셈공식을 사용하여 계산할 수 있습니다.
1-4. 추가자료
개념 정리 자료 (한글파일/pdf)
이 파일로 수업 내용을 한번 간단하게 핵심 요약 정리를 해보시고 백지 테스트를 해보도록 합시다.
"추가로 필요한 자료/ 문제에 대한 다른 풀이 방법/ 글을 읽다 궁금한 점은 댓글로 남겨주세요!"
"이 블로그는 개념원리 교재를 참고하여 학습 내용을 정리하였으며, 저작권 보호를 위해 원문 문제는 제공하지 않고 제 풀이와 학습 팁을 중심으로 구성하여 독창적인 풀이와 함께 효율적인 학습 방법을 공유합니다."
'공통수학 1 개념' 카테고리의 다른 글
| 공통수학 1 -1 - 6. 다항식의 연산 확인체크 - 연습문제 풀이 (2) | 2025.01.11 |
|---|---|
| 공통수학 1 - 1 - 5. 다항식의 연산 - 다항식의 나눗셈 (3) | 2025.01.09 |
| 공통수학 1 -1 - 4. 다항식의 연산 - 곱셈 공식의 변형 (4) | 2025.01.07 |
| 공통수학 1 - 1 - 2. 다항식의 연산 - 지수 법칙과 다항식의 곱셈 (4) | 2025.01.02 |
| 공통수학 1 - 1 - 1. 다항식의 연산 - 다항식의 용어 정리와 예제 문제 풀이 (0) | 2024.12.31 |