1단원-1. 다항식의 연산 - 지수 법칙과 다항식의 곱셈
이번 글에서는 '지수 법칙'과 '다항식의 곱셈'에 대한 성질을 배우고, 이를 활용한 계산 방법과 문제 풀이를 연습해 보겠습니다. 또한, 지수 법칙이 어떻게 성립하는지 증명하는 과정을 따라해보며 원리를 이해할 수 있도록 하고 예제를 통해 개념을 확실히 체득해 봅시다.
개념원리 공통수학 1 : 14p ~ 16p
"모바일 접속 시 함수가 보이지 않을 수 있습니다. 태블릿이나 컴퓨터 또는 chrome(크롬)을 이용해 접속해 주세요."
1-1. 지수법칙
$ a^b $ → $a$를 $b$번 곱한다. $ a $를 '밑', $ b $를 '지수'라 한다.
- $ a^m \times a^n = a^{m+n}$
예: $3^2 \times 3^3 = (3 \times 3) \times (3 \times 3 \times 3) = 3^{2+3} = 3^5$
- $ \frac{a^m}{a^n} = a^{m-n}$
예: $3^3 \div 3^2 = \frac{3 \times 3 \times 3}{3 \times 3} = 3^{3-2} = 3^1$
- $(a^m)^n = a^{m \cdot n}$
예: $ (3^2)^3 = 3^2 \times 3^2 \times 3^2 = 3^{2+2+2} = 3^{3 \times 2} = 3^6 $
- $(ab)^n = a^n \cdot b^n$
예: $ (3 \times 2)^3 = (3 \times 2) \times (3 \times 2) \times (3 \times 2) = 3^3 \times 2^3 $
- $\left(\frac{a}{b}\right)^n = \frac{a^n}{b^n}$
예: $ \left(\frac{3}{2}\right)^3 = \left(\frac{3}{2}\right) \times \left(\frac{3}{2}\right) \times \left(\frac{3}{2}\right) = \frac{3^3}{2^3} $
추가 설명 :)
$ \frac{a^m}{a^n} = a^{m-n}$ 이 식은 사실 $ m > n $ 일 때만 가능하다고 배웁니다. 왜냐하면 지금까지는 지수에 자연수만 쓸 수 있다고 배웠기 때문이에요. 그래서 지수에 0이나 음수를 쓸 수 없기 때문에 바로 아래의 식처럼 배웁니다.
$$ a^m \div a^n = \frac{a^m}{a^n} = \begin{cases} a^{m-n} & (m > n \text{일 때}) \\ 1 & (m = n \text{일 때}) \\ \frac{1}{a^{n-m}} & (m < n \text{일 때}) \end{cases} $$
하지만, 고2 대수과목을 할때 이 지수를 실수범위까지 확장하게 되는데, 안그래도 어려운 내용이 많은데 또 새로운 계산까지 익숙해 져야 한다는 것이 꽤 힘든 과정입니다. 그래서 저는 미리 학생들에게 $ \frac{a^m}{a^n} = a^{m-n}$ 라고만 정의를 시켜 미리 익숙해지도록 연습시킵니다. 고2 과정인 대수과목을 설명할 때 더 자세하게 다룰 예정이지만, 학교 서술형에 쓰지만 않는다면 문제될것은 없으니 간단하게 설명해보도록 할께요.
- $n = m$일 때 $a^n \div a^m = a^{n - m}$ 으로 정의하기 위해 $a^0 = 1$이라는 개념이 도입됩니다.
$$ a^n \div a^n $$
$$= \frac{a \times a \times \cdots \times a}{a \times a \times \cdots \times a} = 1 \quad \text{(실제 계산)}$$
$$ = a^{n - n} = a^0 \quad (\leftarrow a^n \div a^m = a^{n - m} \text{이용)} $$
실제 계산 결과는 1인데, $a^n \div a^m = a^{n - m}$를 사용하면 $ a^0 $ 입니다. 즉, $a^0 = 1$가 됩니다.
- $n < m$일 때 $a^n \div a^m = a^{n - m}$ 으로 정의하기 위해 $a^{-n} = \frac{1}{a^n}$이라는 개념이 도입됩니다.
$$a^n \div a^m $$
$$= \frac{a \times a \times \cdots \times a}{a \times a \times \cdots \times a} = \frac{1}{a^{m - n}} \quad \text{(실제 계산)} $$ $$ = a^{n - m} \quad (\leftarrow a^n \div a^m = a^{n - m} \text{이용)} $$
$ \frac{1}{a^{m - n}}$과 $ a^{n - m}$의 값이 같다는 것을 알 수 있습니다. 이를 일반화 시켜보면 $a^{-n} = \frac{1}{a^n}$ 가 됩니다.
결론 (학교 서술형에서는 사용x)
$ a^n \div a^m = a^{n - m} $
$a^0 = 1$
$a^{-n} = \frac{1}{a^n}$
어렵게 느껴질 수있지만, 미리 익숙해져놓으면 대수 과목을 공부할때 편리하니 미리 해두시는 것을 추천합니다.
- 예제 : $\left( \frac{2}{3} a^2 b \right)^3 \div \left( a^3 b \right)^2 \times \left( -\frac{1}{2} b^2 \right)^3$
풀이 : $= \left( \frac{8}{27} a^6 b^3 \right) \div \left( a^6 b^2 \right) \times \left( -\frac{1}{8} b^6 \right)$
$= \left( \frac{8}{27} \times -\frac{1}{8} \right) \cdot a^{6 - 6} \cdot b^{3 - 2 + 6}$
수는 수끼리 괄호 이용해서 바로 적기, 문자의 지수를 정리할 때는 나누기는 빼기, 곱하기는 플러스로 바로 적어줌
$= -\frac{1}{27} a^0 b^7$
값들을 정리해서 한번 더 적어주고, $a^0 = 1$을 써서 한번 더 정리
$= -\frac{1}{27} b^7$
1-2. 다항식의 곱셈
다항식의 곱셈에 대해서 설명해보도록 할께요.

*괄호는 하나의 항으로 생각!
좌변의 경우 곱으로 연결되어있기 때문에 하나의 항 "단항식"이고, 우변의 경우 항이 여러개이므로 "다항식"입니다. 단항식을 다항식으로 만드는 과정을 우리는 "전개한다"라고 합니다. 반대로 다항식을 단항식으로 만드는 과정을 "인수분해한다"라고 이야기 합니다. 그렇다면, 좌변에서 우변으로의 전개는 왜 식이 저렇게 나오게 되는 것 일까요?

$(x + y)(a + b + c) = ax + bx + cx + ay + by + cy$에서 좌변은 가로의 길이가 $(a+b+c)$, 세로의 길이가 $(x+y)$인 전체 사각형의 넓이라고 생각할 수 있습니다. 우변의 경우 사각형을 쪼개서 세로 길이 $x$와 가로 길이 $a$인 사각형 넓이 $ax$, 세로의길이 $y$와 가로 길이 $a$인 사각형 넓이 $ay$...이렇게 작은 사각형 넓이의 합을 구해주는 것입니다.
결국 넓이는 같으니 $(x + y)(a + b + c) = ax + bx + cx + ay + by + cy$ 라는 결론이 나옵니다.
가로 길이 하나와 세로길이 하나가 만나서 작은 사각형의 넓이를 이루듯이 식의 좌변의 첫번째 괄호와 두번째 괄호가 하나씩 곱해져 우변의 하나의 항을 이루게 되는 것이죠.
- 예제 : $(2x - 3y + 1)(x + y - 2)$를 전개하시오.
풀이 :
- (2x)가 (x)와 만나서 $2x^2$, (y)와 만나서 $2xy$, (-2)와 만나서 $-4x$
- (-3y)가 (x)와 만나서 $-3xy$, (y)와 만나서 $-3y^2$, (-2)와 만나서 $6y$
- (1)이 (x)와 만나서 $x$, (y)와 만나서 $y$, (-2)와 만나서 $-2$
이렇게 생각하면서 아래의 식을 바로 씁니다.
$= 2x^2 + 2xy - 4x - 3xy - 3y^2 + 6y + x + y - 2$
이후 동류항끼리 정리해 줍니다.
/ (슬래시 또는 엑스)를 이용해 계산해준건 제거하면서 정리해주면 계산실수를 줄일 수 있습니다.
$= 2x^2 - xy - 3x - 3y^2 + 7y - 2$
1-3. 예제 문제
추가로 몇가지 문제를 보면서 부족한 개념을 채우고 배운 내용을 적용하고 정리해 보도록 할께요.
설명할 문제 : 개념원리 15p 9번, 16p 필수예제 03
개념원리 15p 9번
풀이 :

답은 분배법칙을 사용한 ㄱ,ㄹ입니다. 전개해 주는 것만 분배법칙이라 생각을 많이 하는데 다시 묶어주는 인수분해 과정도 분배법칙에 해당합니다. 대부분 학생들이 ㄱ과 같은 오른쪽으로 공식적용은 잘하는데 고등수학에서는 ㄹ과 같은 왼쪽으로 공식 적용도 할 수 있어야합니다.
ㄴ,ㄷ은 이전글에서 배운 "다항식의 덧셈 법칙"과 관련 있습니다. 추가로 다항식의 곱셈에 대한 성질도 간단히 정리하고 넘어가도록 할께요.
"다항식의 곱셈에 대한 성질" 정리
세 다항식 $A, B, C$에 대하여
(1) 교환법칙: $AB = BA$ : 자리를 바꿔도 결과가 같다
(2) 결합법칙: $(AB)C = A(BC)$ : 괄호 위치가 달라져도(다르게 묶여도) 결과가 같다.
(3) 분배법칙: $A(B + C) = AB + AC$, $(A + B)C = AC + BC$
16p 필수예제 03
풀이 : 아까 1-2 다항식의 곱셈 설명에서, " 좌변의 첫번째 괄호와 두번째 괄호가 하나씩 곱해져 우변의 하나의 항을 이루게 된다. " 라고 설명을 했었죠 ?? 이 성질을 생각해보면, 첫번째 괄호 $(1 + 3x + 2x^2 + 4x^3)$에서 하나씩 선택이 되고, 두번째 괄호 $(3 + 2x + 4x^2 + 5x^3)$에서 하나씩 선택이 되어 전개가 될 것입니다. 즉, "전개식의 하나의 항"은 "전개 전 각각의 괄호에서 하나씩 선택"이라고 생각이 가능합니다.

(참고 : 문자 대신 숫자가 있더라도 가능합니다.)
그래서 아예 $x^3$이 만들어지는 항만 생각해볼 것입니다.
- ( 아래 그림의 제일 왼쪽 단계 ) : 왼쪽 괄호에서 선택될 수 있는 모든 경우의 수를 먼저 생각해보면 $1 $ , $+ 3x$ , $+ 2x^2$ , $+ 4x^3$입니다. 이를 먼저 써 놓을께요. 하나의 기준으로 모든 경우를 먼저 생각하는 것을 보고 case 분류한다라고 합니다.

- (위의 그림의 중간 단계) : 이제, $x^3$항이 만들어지도록 두번째 항을 차례대로 써 줍니다.
- (위의 그림의 마지막 단계) : 이후 계산해주고 각각의 만들어진 항은 더하기 관계이기 때문에 더해서 $x^3$의 계수를 구해줍니다.
case 분류를 먼저 해주고 각각의 경우를 생각해주는것은 너무너무 중요합니다. 이제 자주 나올꺼에요. case 분류하는 방법이 안 익숙하고 처음 들어봤더라도 이제 계속 나올꺼니까 천천히 익숙해져도 괜찮아요.
추가 관련 문제
설명했던 개념을 조금 더 확장시켜 본다면, 괄호가 여러개 이더라도 전개했을 때의 하나의 항은 각 괄호안에서 하나씩 선택 하여 만들어지게 됩니다.

- $x^3$ 항을 만들기 위해서는 세개의 괄호에서 모두 $x$가 선택 되어야 합니다.
- $x^2$항을 만들기 위해서는 두개의 괄호에서는 $x$, 하나의 괄호에서는 상수가 선택 되어야 합니다.
- $x$항을 만들기 위해서는 한개의 괄호에서는 $x$, 다른 두개의 괄호에서는 상수가 선택 되어야 합니다.
- 상수항을 만들기 위해서는 모든 괄호에서 상수가 선택 되어야 합니다.
즉, 요약하자면 " 전개식 하나의 항 = 각각의 괄호에서 하나씩 선택 " 이라고 생각하면 됩니다.
16p 필수예제 03 (2)
풀이를 설명하기 전에, 한가지 예를 먼저 들어볼께요. 천천히 이해하며 따라가 봅시다.

좌변 처럼 인수분해 한 꼴에서 계산을 해도, 우변처럼 전개한 꼴에서 계산을 해도 같은 결과를 가지게 됩니다.
다항식의 곱셈에 대한 내용이 숫자들간의 계산에서도 당연히 성립한다는 뜻이죠.

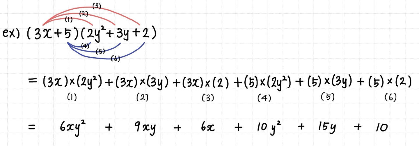
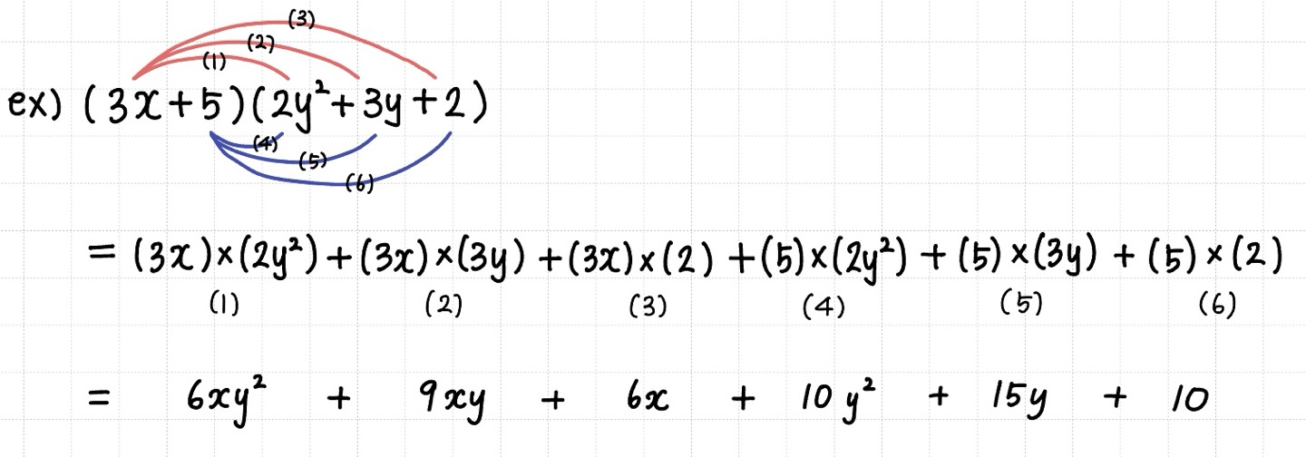
이 식을 전개하면 이렇게 전개가 되겠죠 ? 여기서 문자들만 살짝 지워보겠습니다.

- 첫 줄의 인수분해된 꼴 $ (3 + 5)(2 + 3 + 2)$를 계산한 값과 세번째 줄의 $ 6 + 9 + 6 + 10 + 15 + 10 $의 계산 값은 같은 결과를 가지게 되겠죠?
- $(3x + 5)(2y^2 + 3y + 2) $의 전개식에서 상수항을 포함한 모든 항의 계수들의 총합이 6 + 9 + 6 + 10 + 15 + 10 입니다.
- 즉, $ (3 + 5)(2 + 3 + 2)$를 계산한 값 = $(3x + 5)(2y^2 + 3y + 2) $의 전개식에서 상수항을 포함한 모든 항의 계수들의 총합
이런 결론이 나오게 됩니다. 문자에 1을 대입해도 문자가 사라지는 것과 같으니 상수항을 포함한 모든 항의 계수들의 총합을 구하기 위해서는 문자들을 제거해서 바로 계산한다 생각해주셔도 되고 문자들에 1을 대입했다 생각해주셔도 되는 것입니다.

이제 문제를 본격적으로 풀어보도록 하겠습니다.
$ (2x^2 - x + 3)(5x^3 - 2x^2 + x + 1)$ 의 전개식에서 상수항 포함한 모든 항의 계수들의 총합
"$x$ 를 제거 해서 쓰기 또는 $x$에 1 대입"한다 생각
$ = (2 - 1 + 3)(5 - 2 + 1 + 1) $
$ = (4) \times (5) = 20 \quad \therefore 20 $
중요한 내용도 많고 정확히 원리를 이해하기 위해 충분한 연습을 하도록 합시다.
1-4. 추가자료
개념 정리 자료 (한글파일/pdf)
이 파일로 수업 내용을 한번 간단하게 핵심 요약 정리를 해보시고 백지 테스트를 해보도록 합시다.
"추가로 필요한 자료/ 문제에 대한 다른 풀이 방법/ 글을 읽다 궁금한 점은 댓글로 남겨주세요!"
"이 블로그는 개념원리 교재를 참고하여 학습 내용을 정리하였으며, 저작권 보호를 위해 원문 문제는 제공하지 않고 제 풀이와 학습 팁을 중심으로 구성하여 독창적인 풀이와 함께 효율적인 학습 방법을 공유합니다."
'공통수학 1 개념' 카테고리의 다른 글
| 공통수학 1 -1 - 6. 다항식의 연산 확인체크 - 연습문제 풀이 (2) | 2025.01.11 |
|---|---|
| 공통수학 1 - 1 - 5. 다항식의 연산 - 다항식의 나눗셈 (3) | 2025.01.09 |
| 공통수학 1 -1 - 4. 다항식의 연산 - 곱셈 공식의 변형 (4) | 2025.01.07 |
| 공통수학 1 - 1 - 3. 다항식의 연산 - 곱셈 공식 증명 유도와 예제 문제 풀이 (2) | 2025.01.06 |
| 공통수학 1 - 1 - 1. 다항식의 연산 - 다항식의 용어 정리와 예제 문제 풀이 (0) | 2024.12.31 |