2단원 - 1. 복소수
✅ 복소수 문제 풀이
복소수 문제를 제대로 풀어보며 개념을 확실히 익혀보세요! 이번 글에서는 개념원리 공통수학 1 (92p~94p)의 복소수 연습문제 풀이를 진행하며, 실력 UP 모든 문제까지 완벽히 해결할 수 있도록 정리했습니다.
✔️ 복소수의 기본 연산과 실수화 방법
✔️ 켤레 복소수 활용 및 차수 낮추기 전략
✔️ 복소수 응용 문제 풀이 및 해설 제공
복소수 개념을 확실히 익히고 문제 해결력을 키우려면 다양한 풀이법을 비교하며 최적의 접근법을 찾아가는 과정이 중요합니다. 이 글을 통해 복소수를 완벽하게 이해하고, 실전 문제 해결력을 키워보세요! 🚀
개념원리 공통수학 1 : 92p~ 94p
"모바일 접속 시 함수가 보이지 않을 수 있습니다. 태블릿이나 컴퓨터 또는 chrome(크롬)을 이용해 접속해 주세요."
개념원리 92p 172번
주어진 조건 : $ z - \overline{z} = 2i $, $ z \overline{z} = 17 $
구하고자 하는 것 : 복소수 $z$
$z$식을 직접 구해야 하므로 $ z = a + bi $ 라 두고 (당연히 a,b는 실수)
개념 4. 복소수가 서로 같을 조건
$a, b, c, d$가 실수일 때, $a + bi = c + di$이면 $a = c$, $b = d$
위의 개념을 이용해 $a,b$의 값을 구해 줄 것 입니다.
$ z - \overline{z} = (a + bi) - (a - bi) = 2bi \quad \therefore b = 1 $
$ z \overline{z} = (a + bi)(a - bi) = a^2 - b^2i^2 = a^2 + b^2 = 17 \quad \therefore a^2 = 16, \quad a = \pm 4 $
$ \therefore z = 4 + i \quad \text{이거나} \quad z = -4 + i $
개념원리 93p 176번
주어진 조건 : $z + w = 3 + 6i$, $\overline{z} - \overline{w} = 1 - 4i$
구해야 하는 것 : $ p+q $
$z,w$에 관한 식이 2개가 나왔으므로 연립하여 각각의 $z,w$를 구해주도록 하겠습니다.
개념7. 켤레 복소수의 성질
(1) $\overline{z} = z$
(2) $z$= 실수 $ \iff z = \overline{z}$= 실수
(3) $\overline{z} = -z \iff z$는 순허수 또는 0켤레 복소수의 성질 - 켤레 부호를 쪼개서 각각 적용 가능
$z + w = 3 + 6i$ 조건의 양변에 켤레를 시켜주면,
좌변은 $\overline{z + w} = \overline{z} + \overline{w}$ , 우변은 $3 - 6i$ 입니다.
- $z + w = 3 + 6i$
- 양변 켤레 : $\overline{z} + \overline{w} = 3 - 6i$ ---(ㄱ)
- $\overline{z} - \overline{w} = 1 - 4i$ ---(ㄴ)
두 식을 연립해주면
- (ㄱ)+(ㄴ) : $2z = 4 - 10i$
- (ㄱ)-(ㄴ) : $2w = 2 -2i$
$\overline{z} = 2 - 5i$, $\overline{w} = 1 - i$ 이므로 $z = 2 + 5i$, $\overline{w} = 1 - i$

새로운 실수부의 경우 '퐁당퐁당' , 새로운 허수부는 '무지개' 기억하시죠 ?
문제에서 $p+q$의 값을 물었으니 꼭 계산해서 답을 적어주도록 합시다.
항상 문제를 다 풀고나면 한번더 구하고자 하는게 무엇인지 확인 후 답을 써줍시다.
∴ $p+q = 10$
개념원리 93p 177번
문제에서, 복잡한 $z$의 식이 나왔고, $z\overline{z}=0$ 이라 하였는데, 주어진 $z$로 계산해 주기에는 복잡합니다.
그래서 복잡한 $z$를 간단히 $z = a + bi$ ($a,b$ 실수)라 두고 조건을 먼저 생각해 줍니다.
$z = a + bi$
$z\overline{z} = (a + bi)(a - bi) = a^2 + b^2 = 0$
실수를 제곱하면 항상 0보다 크거나 같습니다.
0보다 크거나 같은 수 2개를 더해서 0이 되기 위해서는 둘다 0이여야 합니다.
$\rightarrow a = 0$ , $b = 0$ (해석 : 실수부 = 0, 허수부 = 0)
주어진 $z$를 정리하면,
$z = (x + y - 3) + (x - y + 5)i$
- $x + y - 3 = 0$
- $x - y + 5 = 0$
두 식을 연립하면 $x = -1$, $y = 4$ $\Rightarrow x^2 + y^2 = 17$
개념원리 93p 178번
주어진 $z$가 간단하므로 이를 바로 이용해 문제의 주어진 조건 $\overline{z} = \frac{z^2}{4i}$을 바로 생각해 줍니다.
$z = a + 2i$
$\overline{z} = \frac{z^2}{4i}$
$\Rightarrow a - 2i = \frac{a^2 + 4ai - 4}{4i}$
- 양변에 $4i$를 곱해서 정리
$\Rightarrow 4ai + 8 = 4ai + (a^2 - 4)$
- 허수부분은 이미 같음. 실수부분만 같으면 등호 성립
$\therefore a^2 - 4 = 8$, $a^2 = 12$
$i^2=-1$을 이용하면서 바로바로 계산해 주시면 됩니다.
∴ $a^2 = 12$
(잔소리)
문제 풀이에만 집중하지 마시고 식을 이렇게 정리하네 ? 등의 생각도 가지면 좋을 것 같습니다.
풀이를 보시면 전의 식에서 그 다음식을 쓸 때 항상 꼴을 최대한 유지하면서 이어 정리하려고 합니다.
즉 $\overline{z}$ 밑에는 $a - 2i$를 딱 써주고 세로로 식을 이어 가는 것이죠.
대부분 학생들이 그냥 막 여기 저기 쓰면서 풀이를 하곤 하는데 그러고 학교 서술형 시험에서는 답은 맞는데 풀이 과정을 잘 못쓴거 같다, 감점되었다 이런이야기를 많이 합니다. 지금 조금 오래 걸리더라도 서술형 시험을 대비해 식을 어떻게 쓰지? 어떻게 이어나가지 ? 내 풀이, 내 생각을 어떻게 보여주지 ? 라는 고민을 하면서 공부하신다면 속도, 정확성, 서술형 시험까지 좋을 것입니다. 많이 쓴다고 해서 느린 것은 아닙니다. 정확히 푸는 연습을 하다보면 나중에는 빨라집니다.
개념원리 94p 179번
‘$z^2$가 실수가 되도록’이라는 조건이 나왔습니다.
- 주어진 $z$는 복잡
- 간단하게 $z = b + ci , (b, c , \text{실수})$라 두고 조건을 보도록 할께요.
- $a$는 문제에 사용되어 $b,c$를 사용
$z^2 = (b + ci)^2 = b^2 + 2bci - c^2 = (b^2 - c^2) + 2bci$
$z^2$이 실수가 되기 위해 허수부분 사라져야함.(0되어야 함) $2bc = 0$
$\therefore b = 0$ 또는 $c = 0$
즉, $z$의 실수부분 $b = 0$ 이거나 허수부분 $c = 0$
이제 조건을 봐줬으니, 문제에서 주어진 $z$에 적용해 줍니다.
$z = (2a - 1) + (a + 2)i$
$\Rightarrow 2a - 1 = 0$ 또는 $a + 2 = 0$
$\therefore a = \frac{1}{2}$ 또는 $a = -2$
따라서 모든 $a$ 값의 곱은 $\frac{1}{2} \times (-2) = -1$
개념원리 94p 180번
$z^2 = -16$는 처음보는 조건이고 계산하기에는 $z$도 복잡하게 주어졌으므로 $z = c + di$ 라 간단히 두고 조건을 생각해 보도록 하겠습니다.

- 두번째 조건을 보면, $c,d$둘 다 0 이거나 둘중 하나가 0이여야 하는데,
- 첫번째 조건에서 $(\text{제곱수}) \geq 0$ 이므로 -16이 나오기 위해
- $c = 0$, $d^2 = 16$ 이어야 합니다.
$\therefore$ 실수부분 $c = 0$, 허수부분 $d = \pm 4$
이제 주어진 $z$를 보면,
$z = (3a - b) + (-a - b)i$
실수부분: $3a - b = 0 \quad \therefore 3a = b$
허수부분: $-a - b = \pm 4$
$-4a = \pm 4$
- $a = 1, b = 3 \quad \Rightarrow a^2 + b^2 = 1 + 9 = 10$
- $a = -1, b = -3 \quad \Rightarrow a^2 + b^2 = 1 + 9 = 10$
어짜피 문제에서는 $a^2 + b^2$을 구하라 하였고
두가지 케이스의 경우 모두 10이 나오니 $a$가 1인지 -1인지는 안중요하게 됩니다.
$\therefore a^2 + b^2 = 10$
개념원리 94p 181번
차수 낮추기 했던 거 기억하시나요 ?! 개념원리 88p 필수예제 06 (1)
'차수 낮춰주는 풀이'
- 우변에 루트 또는 허수 만 두고 나머지 이항
- 양변 제곱 후 '=0' 으로 정리
- 최고차항 표현 → 상쇄 + 남은 항 → 정리 반복
(무슨 조건이 나올지 알고 다 푸는 풀이가 아닌 학생들 입장에서 이렇게 접근했을 때 어디서 막혔고, 어떻게 생각하고 해결하는지 생각의 흐름을 따라 풀이해 보도록 하겠습니다.)
- 이항 후 양변 제곱
$ x^2 + 3 = 2i $
$(x^2 + 3)^2 = (2i)^2$
$x^4 + 6x^2 + 9 = -4$
$\therefore x^4 + 6x^2 + 13 = 0$ ← 0의 값을 이용
- 0을 이용해 이제 차수를 낮춰 주도록 하겠습니다.

- 최고차항 $x^4$을 $x^4 + 6x^2 + 13 = 0$를 이용해 표현하기 위해 $= 1(x^4 + 6x^2 + 13)$
- 추가 되는 $ + 6x^2 + 13 $ 제거 위해 $ - 6x^2 - 13 $ 추가하여 상쇄
- 남은 항들인 $+ x^3 + 8x^2 + 6x + \frac{13}{x}$ 추가
- 정리
그렇다면, 여기서 삼차가 남게 되는데, 이 경우 $x^4 + 6x^2 + 13 = 0$를 바로 사용해 표현이 안되게 됩니다.
$x^3$를 표현 하고 싶고 $x^4 + 6x^2 + 13 = 0$를 알고 있으니 $x$로 양변을 나눠줄까? 라는 생각으로 이어집니다.

미지수로 나눠주는 경우 0으로 나눠줄 수 없으니 나누고 싶다면 0이 아님을 판단하고 나눠줘야합니다.
정말 중요한 내용이니 꼭 기억하도록 합시다.
$x^3 + 6x + \frac{13}{x} = 0$을 이용해 풀이를 계속해보면,
$= x^3 + 2x^2 + 6x + \frac{13}{x} - 13$
$= 1 \cdot (x^3 + 6x + \frac{13}{x}) - 6x - \frac{13}{x} + 2x^2 + 6x + \frac{13}{x} - 13$
- 최고차항 표현 → 상쇄 + 남은 항 → 정리
$= 2x^2 - 13$
- $ x^2 = -3 + 2i $
$= 2(-3 + 2i) - 13$
$= -19 + 4i$
$\therefore -19 + 4i$
이렇게 매 순간 필요한게 무엇인지 생각하며 풀이 할 수 있고, 다음부터는 차수낮추는 풀이를 하려는데 주어진 식에 역수가 보인다면 미리 나눠서 구해 준 후 풀이를 해줄 수 있습니다.
개념원리 94p 182번
주어진 조건
- $\alpha\overline{\alpha} = \beta\overline{\beta} = 2 $
- $\alpha + \beta = 2i$
구하고자 하는 것 : $\alpha\beta$
두 번째 조건에 $\alpha, \beta$에 관한 식이 나왔고, 첫 번째 조건에 $\alpha, \overline{\alpha}, \beta, \overline{\beta}$ 관계가 나왔으므로 첫 번째 식을 정리 후 두 번째 식에 대입하여 관계를 보도록 할게요.
$\alpha\overline{\alpha} = 2 \quad \Rightarrow \quad \alpha = \frac{2}{\overline{\alpha}}$
$\beta\overline{\beta} = 2 \quad \Rightarrow \quad \beta = \frac{2}{\overline{\beta}}$
- 이렇게 곱하기로 주어진 경우 오른쪽과 같이 분수를 이용해 정리해주는 것은 심화 문제에서 가끔 출제되니 기억하도록 합시다.
$\alpha + \beta = \frac{2}{\overline{\alpha}} + \frac{2}{\overline{\beta}} = 2i$
- 양변에 켤레
$\overline{\left( \frac{2}{\overline{\alpha}} + \frac{2}{\overline{\beta}} \right)} = 2i$ → $\frac{2}{\alpha} + \frac{2}{\beta} = -2i$
- 통분해 주면, 문제에서 주어진 $\alpha + \beta = 2i$ 꼴과 구하고자 하는 $\alpha\beta$ 꼴 나옴
$\frac{2(\beta + \alpha)}{\alpha\beta} = -2i$
$\frac{4i}{\alpha\beta} = -2i$
$\therefore -2 = \alpha\beta$
개념원리 94p 183번
풀이 1)
복소수 $z$를 구해야하는데, $z$ 식을 세워 주어진 조건이 성립하도록 미지수 값을 구하는 풀이가 가능합니다.
$z = a + bi $, ($a, b$는 실수)라 하면
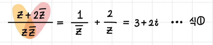
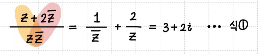
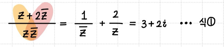
$\frac{z + 2\overline{z}}{z\overline{z}} = 3 + 2i$
$\frac{3a}{a^2 + b^2} -\frac{b}{a^2 + b^2} = 3 + 2i$
$\frac{3a}{a^2 + b^2} = 3$, $-\frac{b}{a^2 + b^2} = 2$
두 식을 연립해 주기 위해 정리하면,

$\Rightarrow a = -\frac{b}{2}$ 이므로 다시 식(1)에 대입시
$\Rightarrow a = a^2 + (-2a)^2$
$5a^2 - a = 0$
$a(5a - 1) = 0 \quad \therefore a = 0$ 또는 $a = \frac{1}{5}$

$\therefore z = \frac{1}{5} - \frac{2}{5}i$
풀이 2)
위의 풀이처럼 계산을 해줄 수도 있지만 이 문제의 경우 켤레와 연립을 이용하여 $z$를 바로 구해 줄 수 있습니다.

- 식을 쪼개서 정리할 때 실수하지 않도록 주의해 주세요.
- 양변 켤레를 시키면, $ \frac{1}{z} + \frac{2}{\overline{z}} = 3 - 2i \quad \cdots \text{식②} $
두 식을 연립해 줍니다.

- 양변을 나누기 3 해주면,
- $ \frac{1}{z} = 1 + 2i $
- 역수시켜 실수화
- $ z = \frac{1}{(1 - 2i)} = \frac{1 \times (1 - 2i)}{(1 + 2i) \times (1 - 2i)} = \frac{1 - 2i}{1 + 4} = \frac{1}{5} - \frac{2}{5}i $
이렇게 하면 $z$를 한 번에 구할 수 있습니다.
많은 문제를 연습하고 다양한 풀이 과정을 경험하다 보면, 자연스럽게 이런 풀이법이 떠오르게 됩니다. 정답을 맞췄다고 그냥 넘어가지 말고,
- 다른 풀이 방법이 있을지 고민해 보고,
- 해설지 풀이와 비교하며 차이를 분석하고,
- "나는 이렇게 풀었는데, 해설지는 이렇게 접근했네" 같은 생각을 하며 학습하면 더욱 효과적입니다.
이런 연습 과정을 통해 문제 해결 능력을 확실히 키울 수 있습니다! 🚀
개념원리 94p 183번
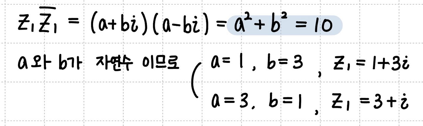
문제에서 주어진 조건 : $a, b, c, d$ 자연수, $z_1\overline{z_1}= 10$
일단, 문제에서 주어진 조건을 먼저 더 구체적으로 해석해보도록 하겠습니다.

$a,b$가 자연수인데, 각각을 제곱하여 더한 값이 10이 되기 위해서는 1과 3의 조합밖에 되지 않습니다.
즉 두가지 케이스가 나오게 되는데, 둘 중 딱 하나로 판단할 다른 조건은 없기 때문에 ㄱ,ㄴ,ㄷ에서 두가지 조건을 매번 모두 고려해 줘야 합니다.
ㄱ.
$z_1 \overline{z_1} = a^2 + b^2 = 10$ 이므로 $\therefore$ 참
ㄴ. '$z_1 + z_2 = 3i$이면' 이라 하였으므로 처음 나왔던 두가지 케이스를 각각 고려하여 조건을 보도록 하겠습니다.
- $z_1 = 1 + 3i$인 경우
$z_1 + z_2 = (1 + c) + (3 - d)i = 3$
$1 + c = 3$, $3 - d = 0$ 이므로 $c = 2$, $d = 3$, $z_2 = 2 + 3i$
- $z_1 = 3 + i$인 경우
$z_1 + z_2 = (3 + c) + (1 - d)i = 3$
$3 + c = 0$, $1 - d = 0$ 이므로 $c = 0$, $d = 1$
$c$와 $d$가 자연수가 아니므로 이 경우는 제외.
- 즉, $(z_1 + z_2 = 3i)$이면 $(\Rightarrow z_1 = 1 + 3i, z_2 = 2 + 3i)$ 이므로 $c + d = 5$다.
- $\therefore$ 참
ㄷ.
참고로, ㄴ에서 $z_1 = 3 + i$인 경우는 안되었다고 여기서 이 경우를 제외 시켜버리면 안됩니다.
ㄴ에서는 '$z_1 + z_2 = 3i$이면' 이라는 특수한 경우만 본 것이기 때문에 ㄷ에서는 다시 두가지 경우 모두 고려해 줘야 합니다.
$(z_1 + z_2)(\overline{z_1 + z_2})$
$= { (a + c) + (b + d)i } { (a + c) - (b + d)i }$
$= (a + c)^2 + (b + d)^2$ $= 41$

즉, $z_2 \overline{z_2} = 17$ 이 최대입니다.
$\therefore$ $z_2 \overline{z_2} = 17$
"추가로 필요한 자료/ 문제에 대한 다른 풀이 방법/ 글을 읽다 궁금한 점은 댓글로 남겨주세요!"
"이 블로그는 개념원리 교재를 참고하여 학습 내용을 정리하였으며, 저작권 보호를 위해 원문 문제는 제공하지 않고 제 풀이와 학습 팁을 중심으로 구성하여 독창적인 풀이와 함께 효율적인 학습 방법을 공유합니다."
'공통수학 1 개념' 카테고리의 다른 글
| 공통수학 1 - 2 - 6. 방정식과 부등식 - 복소수 예제 문제. 연습 문제 풀이 6 (0) | 2025.02.26 |
|---|---|
| 공통수학 1 - 2 - 5. 방정식과 부등식 - 복소수 개념정리 (1) | 2025.02.24 |
| 공통수학 1-2-3. 방정식과 부등식 - 복소수 필수예제 풀이 (1) | 2025.02.20 |
| 공통수학 1 - 2 - 2. 방정식과 부등식 - 복소수 개념정리 2 (0) | 2025.02.18 |
| 공통수학 1 - 2 - 1. 방정식과 부등식 - 복소수 개념정리 1 (0) | 2025.02.16 |
