2단원 - 1. 복소수
복소수 개념정리
복소수 개념을 확실히 익히려면 직접 문제를 풀어보는 것이 중요합니다. 이번 글에서는 개념원리 공통수학 1 (95p~99p)의 복소수 연습문제 풀이를 통해 핵심 개념을 정리하고, 실전 문제 해결력을 높이는 방법을 배웁니다.
✔️ 복소수의 순환성과 $i$의 거듭제곱 패턴 정리
✔️ 복소수 연산 시 실수하기 쉬운 부분 분석
✔️ 개념원리 연습문제 95p~99p 풀이 및 해설 제공
복소수 문제 풀이를 통해 실력을 높이고, 서술형 시험에서도 감점을 피할 수 있도록 풀이 과정을 체계적으로 정리했습니다. 이 글을 통해 복소수를 완벽하게 이해하고, 문제 해결 능력을 키워보세요! 🚀
개념원리 공통수학 1 : 95p~ 99p
"모바일 접속 시 함수가 보이지 않을 수 있습니다. 태블릿이나 컴퓨터 또는 chrome(크롬)을 이용해 접속해 주세요."
1-1. 복소수의 순환성
허수단위 $i$는 $i^2 = -1$을 만족하는 수입니다.
$i$는 순환성을 가지며, 거듭제곱을 하나씩 계산해보면 다음과 같은 패턴이 나타납니다.
- $i^1 = i$
- $i^2 = -1$
- $i^3 = i \times i^2 = i \times (-1) = -i$
- $i^4 = i^2 \times i^2 = (-1) \times (-1) = 1$
$i^4 = 1$ 값이 1로 초기화가 되면서 순환성을 가진 다는 것을 알 수 있습니다.
- $i^5 = i^4 \times i = (1) \times (i) = i$
- $i^6 = i^4 \times i^2 = (1) \times (i^2) = -1$
- $i^7 = i^4 \times i^3 = (1) \times (i^3) = -i$
- $i^8 = i^4 \times i^4 = (1) \times (i^4) = 1$
이처럼 $i^4 = 1$ 을 기준으로 $i$ 거듭제곱의 값이 $i, -1, -i, 1$ 순서로 반복됩니다.

결국 $i$는 이와 같은 순환성을 가지게 됩니다.
- $i$의 값을 가지는 지수를 보면, 1,5,9,13,...으로 4로 나누었을때 나머지가 1인 경우입니다.
이를 (나누는 수)X(몫)+(나머지) 관점에서 식을 세우면 4n+1 형태로 표현할 수 있습니다. - $-1$의 값을 가지는 지수를 보면, 2,6,10,14,...으로 4로 나누었을때 나머지가 2인 경우입니다.
이를 (나누는 수)X(몫)+(나머지) 관점에서 식을 세우면 4n+2 형태로 표현할 수 있습니다. - $-i$의 값을 가지는 지수를 보면, 3,7,11,15,...으로 4로 나누었을때 나머지가 3인 경우입니다.
이를 (나누는 수)X(몫)+(나머지) 관점에서 식을 세우면 4n+3 형태로 표현할 수 있습니다. - $1$의 값을 가지는 지수를 보면, 4,8,12,16,...으로 4로 나누었을때 나머지가 4 , 즉 나누어 떨어지는 경우입니다.
이를 (나누는 수)X(몫)+(나머지) 관점에서 식을 세우면 4n+4 (즉, 4n) 형태로 표현할 수 있습니다.
이에 의해 만들어지는 성질 3가지도 함께 정리하도록 합시다.!

개념 8.복소수의 순환성
$i = i^1 = i^5 = \cdots = i^{4n+1}$
$-1 = i^2 = i^6 = \cdots = i^{4n+2}$
$-i = i^3 = i^7 = \cdots = i^{4n+3}$
$1 = i^4 = i^8 = \cdots =i^{4n+4 \approx 4n}$
◎성질
1) $i^{4n+1} + i^{4n+3} = 0$
2) $i^{4n+2} + i^{4n} = 0$
3) $i^{4n+1} + i^{4n+2} + i^{4n+3} + i^{4n} = 0$
1-2. 복소수들간의 사칙 연산시 주의해야 할점
지금까지 배운 복소수들간의 연산에 대해 생각해보자면,
개념1. 허수의 도입에서 주의해야 할 점으로 $i$를 이용해 정리해 줄 때 , $\sqrt{}$ 안의 남은 수는 양수여야 한다고 언급한 적이 있습니다.
그러고 간단하게 학교에서 자주 출제되는 유형으로 잘못계산했을 때 1이 -1과 같다는 결론이 나오므로 $i$를 이용해 $\sqrt{}$ 안의 남은 수는 양수로 먼저 정리 한 후 계산해줄 것을 강조 했었습니다. (이전글 보러가기)
이 글에서 이 부분에 대해서 좀 더 자세하게 다뤄보도록 할께요.
몇가지 예를 보도록 하겠습니다.
$i$를 이용해 정리하지 않고 루트안의 수를 바로 곱해 푸는 잘못된 풀이와, $i$를 이용해 $\sqrt{}$ 안의 남은 수는 양수로 정리해 푸는 정확한 풀이 2가지로 풀고 비교해 보도록 하겠습니다.
- 예제1) $\sqrt{-3} \times \sqrt{2}$
정확한 풀이 $= \sqrt{3}i \times \sqrt{2} = \sqrt{6}i \quad (\text{O})$
잘못된 풀이 $= \sqrt{-6} = \sqrt{6}i \quad (\text{X})$
결론적으로는 값이 같다는 것을 알 수 있습니다.
- 예제2)$\sqrt{-3} \times \sqrt{-2}$
정확한 풀이 $= \sqrt{3}i \times \sqrt{2}i = -\sqrt{6} \quad (\text{O})$
잘못된 풀이 $= \sqrt{(-3)(-2)} = \sqrt{6} \quad (\text{X})$
여기서는 결론 값이 다르다는 것을 알 수 있습니다.
잘못된 풀이를 생각해보면 루트 안의 수끼리 곱해주면서 마이너스 부호가 사라지게 됩니다.
문자로 정리하면 다음과 같습니다.
- $a < 0, b < 0$ 인 경우: $\sqrt{a} \sqrt{b} =$ $-$ $\sqrt{ab}$
- 그 외의 경우는: $\sqrt{a} \sqrt{b} = \sqrt{ab}$
간단하게 정리하자면, $\sqrt{a} \sqrt{b}$ 를 계산할때 둘다 음수 인경우 $-$ $\sqrt{ab}$가 결론으로 나오고, 이외의 경우는 사실 잘못계산해줘도 사실 결론은 같구나 라고 정리할 수 있습니다.
- 예제3) $\frac{\sqrt{2}}{\sqrt{3}}$
정확한 풀이 $= \frac{\sqrt{2}i}{\sqrt{3}} = \sqrt{\frac{2}{3}}i \quad (\text{O})$
잘못된 풀이 $= \sqrt{-\frac{2}{3}} = \sqrt{\frac{2}{3}}i \quad (\text{X})$
결론적으로는 값이 같다는 것을 알 수 있습니다.
- 예제 4) $\frac{\sqrt{2}}{\sqrt{-3}}$
정확한 풀이 $\frac{\sqrt{2}}{\sqrt{3}i} \times \frac{i}{i} = \sqrt{\frac{2}{3}} \frac{i}{i^2} = -\sqrt{\frac{2}{3}}i \quad (\text{O})$
잘못된 풀이 $= \sqrt{\frac{2}{-3}} = \sqrt{-\frac{2}{3}} = \sqrt{\frac{2}{3}}i \quad (\text{X})$
여기서는 결론 값이 다르다는 것을 알 수 있습니다.
잘못된 풀이를 생각해보면, 분모의 $i$를 실수화 시키는 과정에서 -(마이너스)가 생긴다는 것을 알 수 있습니다. 그러면서 부호가 바뀌게 되는데요.
문자로 정리하면 다음과 같습니다.
- $a < 0, b > 0$ 인 경우: $\frac{\sqrt{b}}{\sqrt{a}} =$ $-$ $\sqrt{\frac{b}{a}}$
- 그 외의 경우는: $\frac{\sqrt{b}}{\sqrt{a}} = \sqrt{\frac{b}{a}}$
간단하게 정리하자면, $\frac{\sqrt{b}}{\sqrt{a}}$를 계산할때 분모가 음수고 분자가 양수인 경우 $ -\sqrt{\frac{b}{a}}$라는 결론이 나오고, 이외의 경우는 잘못 계산해줘도 사실 결론은 같구나 라고 정리할 수 있습니다.
이처럼 어떤때에는 값이 다르고 어떤때에는 값이 같기 때문에 정확한 풀이를 위해서는 루트안에 음수가 나온경우 $i$를 이용해 $\sqrt{}$ 안의 남은 수는 양수로 정리해 풀어주자 라는 결론이 나오게 됩니다.
특수 케이스만 외워서 문제를 푸셔도 되지만, 기본 규칙은 무엇인지 알고 푸는 것이 중요합니다.
나중에 개념원리 99p 필수예제 11번 문제에서도 이 두가지로 설명하도록 해볼께요!
개념 9. 복소수들간의 사칙연산시 주의해야할 점
$i$를 이용해 $\sqrt{}$ 안의 남은 수는 양수로 정리해 풀기
$a < 0, b < 0$ 인 경우 → $\sqrt{a} \sqrt{b} =$ $-$ $\sqrt{ab}$
그 외의 경우는: $\sqrt{a} \sqrt{b} = \sqrt{ab}$
$a < 0, b > 0$ 인 경우 → $\frac{\sqrt{b}}{\sqrt{a}} =$ $-$ $\sqrt{\frac{b}{a}}$
그 외의 경우는: $\frac{\sqrt{b}}{\sqrt{a}} = \sqrt{\frac{b}{a}}$
(추가)
$\sqrt{a} \sqrt{b} =$ $-$ $\sqrt{ab}$ → $a < 0, b < 0$ 또는 $a=0$ 또는 $b=0$
$\frac{\sqrt{b}}{\sqrt{a}} =$ $-$ $\sqrt{\frac{b}{a}}$ → $a < 0, b > 0$ 또는 $b=0$
(추가)를 보면
$\sqrt{a} \sqrt{b} =$ $-$ $\sqrt{ab}$ 식을보고 반대로 $a,b$의 부호를 뽑을 수 있습니다.
그런데, 여기서는 방정식이기 때문에,
- $a=0$인 경우 좌변 우변이 0이되서 성립하고
- $b=0$인 경우도 좌변 우변이 0이 되면서 등호가 성립하게 됩니다.
$\frac{\sqrt{b}}{\sqrt{a}} =$ $-$ $\sqrt{\frac{b}{a}}$ 식을 보고도 $a,b$의 부호를 뽑을 수 있습니다.
여기서도 방정식이기 때문에,
- $b=0$인 경우도 좌변 우변이 0이 되면서 등호가 성립하게 됩니다.
- $a$는 분모에 있으므로 분모는 0이 될 수 없어 $b=0$만 가능하게 됩니다.
💡 반대로 해석시에는 방정식 특성상 0인 경우도 등호가 성립하니 꼭 주의 하도록 합시다!
1-3. 예제문제
개념원리 97p 필수예제 09
(1)번 문제
복소수의 순환성이 보이도록 정리해 줍니다.

- $i^{4n+1} + i^{4n+2} + i^{4n+3} + i^{4n} = 0$ 이므로 각각의 가로줄의 합은 0
- 즉, $i + i^2 + \cdots + i^{200} + i^{201}$ 에서 $i^{200}$까지의 합은 $0$
- $i + i^2 + \cdots + i^{200} + i^{201} = i^{201}$
- $201$은 $4$로 나누었을 때 나머지 $1$이므로 $i^{201} = i^{4n+1} = i$
∴$i$
(2)번 문제
여기서도 복소수의 순환성이 보이도록 정리해 주면 좋습니다.
$i$와 $i^3$, $i^2$과 $i^4$는 서로 부호 반대 관계라서 💡 역수를 시켜줘도 합이 $0$이 됩니다.
- $\frac{1}{i} + \frac{1}{i^3} = \frac{1}{i} + \frac{1}{-i} = \frac{1}{i} - \frac{1}{i} = 0$
- $\frac{1}{i^2} + \frac{1}{i^4} = \frac{1}{-1} + \frac{1}{1} = -1 + 1 = 0$
- 이렇게 4개씩의 합은 0이 됩니다.

이렇게 1을 따로 빼두고 계산하면 바로 4의 배수인 $\frac{1}{i^{48}}$까지의 합이 딱 0이 되므로 계산하기가 편리합니다.
남은 계산을 마무리 해주면,
$= 1 + \frac{1}{i^{49}} + \frac{1}{i^{50}}$
- $49$는 $4$로 나누었을 때 나머지 $1$, $i^{49} = i^{4n+1} = i$
- $50$은 $4$로 나누었을 때 나머지 $2$, $i^{50} = i^{4n+2} = i^2$
$= 1 + \frac{1}{i} + \frac{1}{i^2}$
- 실수화 : $\frac{1}{i} = \frac{1 \cdot i}{i \cdot i} = -i$
- $\quad i^2 = -1$
$= 1 - i - 1$
$= -i$
$\therefore$ (주어진 식) $= -i$
개념원리 98p 필수예제 10
(1),(2)풀이 처럼 간단한 형태가 나올때 까지 거듭제곱을 직접 한 후 주어진 식을 계산하는 방법과
(3) 풀이 처럼 괄호안의 식을 간단하게 먼저 정리하고 난 후 주어진 식을 계산하는 방법 2가지 풀이로 나뉘게 됩니다.
(1)번 풀이
$(1 + i)^1 = (1 + i)$
$(1 + i)^2 = 1 + 2i - 1 = 2i$ → 거듭제곱하기 편리한 단항식 꼴 나왔음 / 이를 이용하여 주어진 식 표현
$(1 + i)^{10} = ((1 + i)^2)^5 = (2i)^5 = 32i^5 = 32i$
∴$32i$
(2)번 풀이
$\left( \frac{1 - i}{\sqrt{2}} \right)^1 = \left( \frac{1 - i}{\sqrt{2}} \right)$
$\left( \frac{1 - i}{\sqrt{2}} \right)^2 = \frac{1 - 2i - 1}{2} = -i$ → 거듭제곱하기 편리한 단항식 꼴 나왔음 / 이를 이용하여 주어진 식 표현
$\left( \frac{1 - i}{\sqrt{2}} \right)^{50} = \left( \left( \frac{1 - i}{\sqrt{2}} \right)^2 \right)^{25} = (-i)^{25} = -i^{25} = -i^1 = -i$
∴$-i$
(3)번 풀이
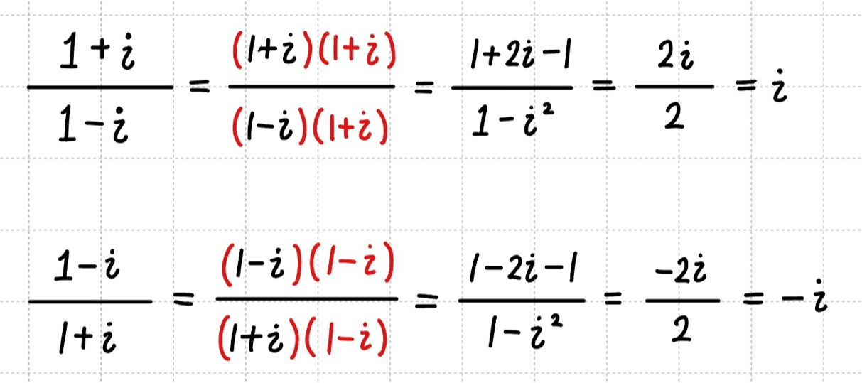
괄호 안의 식을 실수화하여 간단하게 정리해 줍니다.

괄호안의 값만 정리한 것입니다. 지수에는 영향이 없어요.
$\left( \frac{1 + i}{1 - i} \right)^{502} + \left( \frac{1 - i}{1 + i} \right)^{502}$
$= (i)^{502} + (-i)^{502}$
$= i^2 + i^2$
$= -2$
∴$-2$
(3)번도 (1),(2)번 풀이 처럼 계산이 가능합니다.
(3)번풀이 추가
$\left( \frac{1 + i}{1 - i} \right)^2 = \frac{(1 + i)^2}{(1 - i)^2} = \frac{1 + 2i - 1}{-2i} = \frac{2i}{-2i} = -1$ → 거듭제곱하기 편리한 단항식 꼴 나왔음
$\left( \frac{1 - i}{1 + i} \right)^2 = \frac{(1 - i)^2}{(1 + i)^2} = \frac{1 - 2i - 1}{2i} = \frac{-2i}{2i} = -1$ → 거듭제곱하기 편리한 단항식 꼴 나왔음
$\left( \frac{1 + i}{1 - i} \right)^{502} + \left( \frac{1 - i}{1 + i} \right)^{502}$
$= \left( \left( \frac{1 + i}{1 - i} \right)^2 \right)^{251} + \left( \left( \frac{1 - i}{1 + i} \right)^2 \right)^{251}$
$= (-1)^{251} + (-1)^{251}$
$= -2$
∴$-2$
이 문제에서 방법 두가지를 섞어 풀면서 실수가 많이 나더라구요.
등호가 성립하도록 식을 이어적는 것을 계속 연습하도록 합시다.
개념원리 99p 필수예제 11
복소수의 사칙연산시 주의해야할 점을 생각하며 개념설명에서 언급한 두가지 방법으로 풀어보도록 하겠습니다.
방법1) $i$를 이용해 $\sqrt{}$ 안의 남은 수는 양수로 정리해 풀기
$\sqrt{-3} \sqrt{12} + \sqrt{-3} \sqrt{-12} + \frac{\sqrt{12}}{\sqrt{-3}} + \frac{\sqrt{-12}}{\sqrt{-3}}$
- $i$를 이용해 루트 안에 양수만 남도록 정리
$= \sqrt{3}i \sqrt{12} + \sqrt{3}i \sqrt{12}i + \frac{\sqrt{12}}{\sqrt{3}i} + \frac{\sqrt{12}i}{\sqrt{3}i}$
- $\frac{\sqrt{12}}{\sqrt{3}i} = \frac{\sqrt{12} \cdot i}{\sqrt{3}i \cdot i} = -\frac{\sqrt{12}}{\sqrt{3}}i = -\sqrt{\frac{12}{3}}i$
- $\frac{\sqrt{12}i}{\sqrt{3}i}$에서 $i$는 약분되고 $\frac{\sqrt{12}}{\sqrt{3}} = \sqrt{\frac{12}{3}}$
$= \sqrt{36}i + \sqrt{36}i^2 - \sqrt{\frac{12}{3}}i + \sqrt{\frac{12}{3}}$
$= 6i - 6 - 2i + 2$
$= 4i - 4$
∴$-4 + 4i$
방법2) 특수한 케이스만 외워서 풀기
$a < 0, b < 0$ 인 경우 → $\sqrt{a} \sqrt{b} =$ $-$ $\sqrt{ab}$
그 외의 경우는: $\sqrt{a} \sqrt{b} = \sqrt{ab}$
$a < 0, b > 0$ 인 경우 → $\frac{\sqrt{b}}{\sqrt{a}} =$ $-$ $\sqrt{\frac{b}{a}}$
그 외의 경우는: $\frac{\sqrt{b}}{\sqrt{a}} = \sqrt{\frac{b}{a}}$
$\sqrt{-3} \sqrt{12} + \sqrt{-3} \sqrt{-12} + \frac{\sqrt{12}}{\sqrt{-3}} + \frac{\sqrt{-12}}{\sqrt{-3}}$
- $\sqrt{-3} \cdot \sqrt{12} = \sqrt{-36} = 6i$ ← 그 외의 경우 $\sqrt{a} \sqrt{b} = \sqrt{ab}$
- $\sqrt{-3} \cdot \sqrt{-12} =$ $-$ $\sqrt{(-3)(-12)} = -6$ ← $a < 0, b < 0$ 인 경우 $\sqrt{a} \sqrt{b} =$ $-$$\sqrt{ab}$
- $\frac{\sqrt{12}}{\sqrt{-3}} =$ $-$ $\sqrt{-\frac{12}{3}} = -\sqrt{-4} = -2i$ ← $a < 0, b > 0$ 인 경우 $\frac{\sqrt{b}}{\sqrt{a}} =$ $-$ $\sqrt{\frac{b}{a}}$
- $\frac{\sqrt{-12}}{\sqrt{-3}} = \sqrt{\frac{-12}{-3}} = \sqrt{4} = 2$ ← 그 외의 경우 $\frac{\sqrt{b}}{\sqrt{a}} = \sqrt{\frac{b}{a}}$
$= 6i - 6 - 2i + 2$
$= 4i - 4$
∴$-4 + 4i$
둘중 꼭 하나만을 공부해야한다면 개인적으로 첫번째 풀이방법을 연습하는게 맞다고 생각합니다.
방법1)의 경우 몇번 제대로 써가며 연습하다보면 자연스럽게 계산과정도 생략되고 빨라질 것입니다.
그렇다고 방법2)의 경우가 안좋은 풀이라는 것은 아니고 둘다 해두시는게 제일 좋습니다.
개념원리 99p 필수예제 12
개념 9. 복소수들간의 사칙연산시 주의해야할 점
...
(추가)
$\sqrt{a} \sqrt{b} =$ $-$ $\sqrt{ab}$ → $a < 0, b < 0$ 또는 $a=0$ 또는 $b=0$
$\frac{\sqrt{b}}{\sqrt{a}} =$ $-$ $\sqrt{\frac{b}{a}}$ → $a < 0, b > 0$ 또는 $b=0$
위의 개념을 사용하는 문제 입니다.
- $\sqrt{a} \sqrt{b} = -\sqrt{ab}$ 조건이 주어졌습니다.
$a < 0, b < 0$ 또는 $a = 0$ 또는 $b = 0$으로 3가지 경우가 가능한데,
이 아닌 두 실수 $a, b$라 하였으므로 $a < 0, b < 0$인 경우입니다.

$\sqrt{A^2} = |A|$입니다. 절댓값 안의 식이 양수면 그대로, 음수면 $-$ (마이너스) 부호를 달고 나옵니다.
★계산 실수가 많은 학생이라면,
절댓값 안의 식이 양수면 절댓값 기호를 괄호로, 음수면 절댓값 기호를 괄호로, 괄호 앞 부호 바꾸기 이렇게 생각하며 익숙해지도록 합시다.
이게 더 복잡한데요? 하는 학생들도 있을 수 있겠지만 많은 학생들한테 여러가지 방법으로 알려줘 봤을 때 이렇게 연습하는것이 계산실수가 가장 적고 효과가 좋더라구요..! 계산실수가 많은 학생이라면 속는셈 치고 한번 해보도록 해봐요!!

절댓값을 계산할 때는 이 STEP 3개로 팍팍 치고 넘어가도록 합시다.
처음에는 조금 안익숙 하더라도 3가지 스탭이 익숙해지면 식을 어떻게 쓸지 판단하는 과정이 줄기 때문에 속도도 엄청 빨라질꺼에요.
1-4. 추가자료
개념 정리 자료 (한글파일 / pdf)
이 파일로 수업내용을 한번 간단하게 핵심 요약 정리를 해보시고 백지테스트를 해보도록 합시다.
"추가로 필요한 자료/ 문제에 대한 다른 풀이 방법/ 글을 읽다 궁금한 점은 댓글로 남겨주세요!"
"이 블로그는 개념원리 교재를 참고하여 학습 내용을 정리하였으며, 저작권 보호를 위해 원문 문제는 제공하지 않고 제 풀이와 학습 팁을 중심으로 구성하여 독창적인 풀이와 함께 효율적인 학습 방법을 공유합니다."
'공통수학 1 개념' 카테고리의 다른 글
| 공통수학 1 - 2 - 7. 복소수 - RPM 주요 문제 풀이 1 (0) | 2025.02.28 |
|---|---|
| 공통수학 1 - 2 - 6. 방정식과 부등식 - 복소수 예제 문제. 연습 문제 풀이 6 (0) | 2025.02.26 |
| 공통수학 1 - 2 - 4. 방정식과 부등식 - 복소수 연습문제 풀이 (0) | 2025.02.22 |
| 공통수학 1-2-3. 방정식과 부등식 - 복소수 필수예제 풀이 (1) | 2025.02.20 |
| 공통수학 1 - 2 - 2. 방정식과 부등식 - 복소수 개념정리 2 (0) | 2025.02.18 |