2단원 - 1. 복소수
✅ 복소수 문제 풀이 |
복소수 개념을 확실히 이해하려면 다양한 유형의 문제를 풀어보는 것이 중요합니다. 이번 글에서는 RPM 공통수학 1 (44p~51p)의 복소수 연습문제 풀이를 통해 핵심 개념을 정리하고, 실전에서 빠르고 정확한 문제 해결 방법을 배웁니다.
📌 이 글에서 다룰 주요 내용
✔ 복소수의 순환성과 $i$의 거듭제곱 패턴 분석
✔ 복소수 연산 시 자주 실수하는 부분과 해결 전략
✔ RPM 연습문제 (44p~51p) 풀이 및 핵심 개념 적용 방법
✔ 서술형 문제에서 감점 없이 정확한 풀이 과정 정리하는 방법
복소수 문제 풀이를 통해 실력을 향상하고, 서술형 시험에서도 감점을 피할 수 있도록 체계적인 풀이 과정과 다양한 해설 방법을 제공합니다. 🚀
RPM 공통수학 1 : 44p~ 51p
"모바일 접속 시 함수가 보이지 않을 수 있습니다. 태블릿이나 컴퓨터 또는 chrome(크롬)을 이용해 접속해 주세요."
RPM 47p 318번
구하고자 하는 식의 차수가 높아 하나하나 계산하기 힘들어 '차수 낮춰주는 풀이'를 이용할 것 입니다.
'차수 낮춰주는 풀이'를 하도록 해보겠습니다.
- 우변에 루트 또는 허수만 두고 나머지 이항
- 양변 제곱 후 '=0' 으로 정리
- 최고차항 표현 → 상쇄 + 남은 항 → 정리 반복
풀이1)
1. 주어진 복소수를 실수화 하고 우변에는 허수만 두고 나머지 이항

$z - 2 = i$
2. 양변 제곱 후 '=0'으로 정리
$z^2 - 4z + 4 = -1$
$\therefore z^2 - 4z + 5 = 0$
3.최고차항 표현 → 상쇄 + 남은 항 → 정리 반복
$z^3 - 4z^2 + 5z + 3$
$= z(z^2 - 4z + 5) + 3$ ( 상쇄 안해도 바로 표현 가능)
$= 3$
$\therefore z^3 - 4z^2 + 5z + 3 = 3$
추가 다른 풀이 :) 직접 나누기 이용
직접나누기를 이용하여 (나누는식)X(몫)+(나머지) 관계로 표현하면,
$z^3 - 4z^2 + 5z + 3 = ( z^2 - 4z + 5 )(z) + 3$
- $z^2 - 4z + 5 = 0$ 이므로
$z^3 - 4z^2 + 5z + 3 = 3$
$\therefore z^3 - 4z^2 + 5z + 3 = 3$
RPM 47p 319번
구하고자 하는 식의 차수가 높아 하나하나 계산하기 힘들어 '차수 낮춰주는 풀이'를 이용할 것 입니다.
1. 주어진 복소수를 실수화 하고 우변에는 허수만 두고 나머지 이항
$x^2 - 1 = -2i$
2. 양변 제곱 후 '=0'으로 정리
$x^4 - 2x^2 + 1 = -4$
$x^4 - 2x^2 + 5 = 0$
"개념원리 94p 181번"에서도 분모에 $x$가 있는 항이 있었습니다.
- $x = 0$이면 $x^2 \neq 1 - 2i$이므로 $x \neq 0$
- 양변을 $x$로 나눠주면 $x^3 - 2x + \frac{5}{x} = 0$
여기까지 미리 구해두고 풀이에 들어가도록 하겠습니다.
3.최고차항 표현 → 상쇄 + 남은 항 → 정리 반복
$x^4$ $+ x^3 - 2x^2 - 2x + \frac{5}{x}$
$= 1(x^4 - 2x^2 + 5) + 2x^2 - 5$ $+ x^3 - 2x^2 - 2x + \frac{5}{x}$ ← $x^4 - 2x^2 + 5 = 0$ 이용
$= x^3 - 2x - 5 + \frac{5}{x}$
$= \left( x^3 - 2x + \frac{5}{x} \right) - 5$ ← $x^3 - 2x + \frac{5}{x} = 0$ 이용
$= -5$
$\therefore -5$
RPM 48p 326번
'$z^2$이 실수'라는 조건이 나왔습니다.
주어진 $z$가 복잡하므로 일단 간단하게 $z = b + ci$라 두고 조건을 봐주도록 하겠습니다.
$z^2 = (b^2 - c^2) + 2bci$
실수가 되기 위해 $b = 0$ 또는 $c = 0$
$z = (a^2 - 3a + 2)+(a^2 + a - 2)i$ 이므로
- $b = 0$ (실수부 = 0)
$a^2 - 3a + 2 = (a - 1)(a - 2) = 0$ $\therefore a = 1, a = 2$ - $c = 0$ (허수부 = 0)
$a^2 + a - 2 = (a + 2)(a - 1) = 0$ $\therefore a = 1, a = -2$
$\therefore a = 1$ 또는 $-2$ 또는 $2$, 모든 실수 $a$ 값의 합 = $1$
$\therefore 1$
RPM 48p 327번
'$z^2$이 양의 실수'라는 조건이 나왔습니다.
주어진 $z$가 복잡하므로 일단 간단하게 $z = b + ci$라 두고 조건을 봐주도록 하겠습니다.
$z^2 = (b^2 - c^2) + 2bci$
실수가 되기 위해 $b = 0$ 또는 $c = 0$
양의 실수가 되기 위해 $c = 0$ 이여야 하고, $b=0$이면 $z=0$ 되므로 $b \neq 0$
$z = (a^2 + 3a - 4) + (a^2 + a - 12)i$ 이므로
- $b \neq 0$ (실수부 $\neq 0$)
$a^2 + 3a - 4 = (a + 4)(a - 1) \neq 0$ $\therefore a \neq -4, a \neq 1$ - $c = 0$ (허수부 = 0$)$
$a^2 + a - 12 = (a + 4)(a - 3) = 0$ $\therefore a = -4, a = 3$
두 조건을 모두 만족하는 $a$는 $3$
$\therefore a = 3$
RPM 48p 330번
켤레 복소수를 구할 때 $i$앞의 부호만 바뀌도록 주의 합시다.
$\overline{(x - 5) - 3xyi} = 9i - y$
$(x - 5) + 3xyi = -y + 9i$
$\therefore x - 5 = -y$, $3xy = 9$
$x + y = 5$, $xy = 3$
- 구하고자 하는 것이 $x^2+y^2$이므로 굳이 각각의 값을 구하지 않고 곱셈공식을 이용해 줍니다.
$x^2 + y^2 = (x + y)^2 - 2xy = 25 - 6 = 19$
$\therefore x^2 + y^2 = 19 $
RPM 49p 332번
$z = a + bi$, $\overline{z} = a - bi$라 두면 ($a, b$ 실수)
ㄱ.
$z \cdot \overline{z} = (a + bi)(a - bi) = a^2 + b^2$
즉, $a^2 + b^2 = 0$이면 $a = 0$이고 $b = 0$이므로 $Z = 0$
$\therefore$ 참
ㄴ.
풀이1)
순허수는 켤레해도 순허수이므로 바로 참
풀이2)
$\overline{z} = a - bi$
$a - bi$가 순허수면 $a = 0, b \neq 0$이므로 $\overline{z} = -bi$ (순허수)
$\therefore$ 참
ㄷ.
풀이1)
$\frac{1}{z} + \frac{1}{\overline{z}} = \frac{1}{a + bi} + \frac{1}{a - bi} = \frac{(a - bi) + (a + bi)}{(a + bi)(a - bi)} = \frac{2a}{a^2 + b^2}$이므로 실수이다.
풀이2)
$\frac{1}{z}$를 새로운 복소수 $c + di$라 하면 $\frac{1}{\overline{z}} = c - di$
$\frac{1}{z} + \frac{1}{\overline{z}} = (c + di) + (c - di) = 2c$로 실수이다.
$\therefore$ 거짓
추가로 333번과 334번에서 주어진 문제의 조건만 보도록 할께요.
333번 :) $\overline{z} = -z \Leftrightarrow 0$ 또는 순허수
$\overline{z} = -z$
$a - bi = -(a + bi)$
$2a = 0$
$\therefore a = 0$이고 $b$의 값 제한은 없음. (즉, $b = 0$, $b \neq 0$ 둘 다 가능)
- $a = 0$일 때 $b = 0$이면 $Z = 0$
- $a = 0$일 때 $b \neq 0$이면 $Z = bi$ (순허수)
$\therefore \overline{z} = -z \Leftrightarrow 0$ 또는 순허수
334번 :) $\therefore z = \overline{z} \Leftrightarrow $ 실수
$z = \overline{z}$
$a + bi = a - bi$
$b = 0$이고 $a$의 값 제한 없음. (즉, $a = 0$, $a \neq 0$ 둘 다 가능)
- $b = 0$일 때 $a = 0$이면 $Z = 0$
- $b = 0$일 때 $a \neq 0$이면 $Z = a$ (실수)
- $a = 0$이든 $a \neq 0$이든 그냥 실수가 되는 것
$\therefore Z = \overline{Z} \Leftrightarrow $ 실수
RPM 49p 337번
$z \cdot \overline{z} = 7$, $z + \frac{7}{z} = 4$
- 두 조건의 관계를 보기 위해
- $z \cdot \overline{z} = 7 \Rightarrow \overline{z} = \frac{7}{z}$
- 식 변형 후 두번째 식에 대입 해 줍니다.
$\therefore z + \overline{z} = 4$
$z = a + bi$, $\overline{z} = a - bi$ 라 하면
- $z \cdot \overline{z} = a^2 + b^2 = 7$
- $z + \overline{z} = 2a = 4$
$\therefore a = 2$, $b^2 = 3$ $(b = \pm \sqrt{3})$
$\therefore z = 2 \pm \sqrt{3}i$
RPM 50p 342번
복소수의 순환성을 이용한 문제 입니다.

4개씩 $i$의 거듭제곱이 반복되고 분자의 숫자가 2씩 차이가 나므로 주어진 식도 4개씩의 합이 $-2+2i$로 일정하게 됩니다.
$4 \times 25 = 100$이므로 $-\frac{100}{i^{100}}$까지의 합이 $(-2 + 2i)$가 25개
(주어진 식)
$= 25 \times (-2 + 2i) + \frac{101}{i^{101}} - \frac{102}{i^{102}}$
- $\cdot \frac{101}{i^{101}} = \frac{101}{i} = \frac{101 \cdot i}{i \cdot i} = -101i$
- $\cdot \frac{-102}{i^{102}} = \frac{-102}{i^2} = 102$
$= -50 + 50i - 101i + 102$
$= 52 - 51i$
$a = 52$, $b = -51$
$a - b = 52 + 51 = 103$
RPM 50p 346번
$f(x) = \left( \frac{1 + x}{1 - x} \right)^{1002}$ 문제의 주어진 $f(x)$가 복잡하지만 구하고자 하는 것에 집중하여 하나씩 차근차근 해결해 보도록 합시다.
늘 좌변과 우변이 같은 값인지 생각하며 등호를 이용하여 식을 이어가며 써보도록 합시다.
- $f\left( \frac{1 - i}{1 + i} \right)$ 값 구하기
$\frac{1 - i}{1 + i} = \frac{(1 - i)(1 - i)}{(1 + i)(1 - i)} = \frac{1 - 2i - 1}{2} = -i$
이 식을 이용하여 정리해 주면,

- $f\left( \frac{1 + i}{1 - i} \right)$ 값 구하기
$\frac{1 + i}{1 - i} = \frac{(1 + i)(1 + i)}{(1 - i)(1 + i)} = \frac{1 + 2i - 1}{2} = i$
이 식을 이용하여 정리해 주면,

- $f\left( \frac{1 - i}{1 + i} \right) + f\left( \frac{1 + i}{1 - i} \right) = -2$
식을 차근차근 정리하다보면 생각보다 쉽게 풀리는 문제가 많으니 겁먹지 말고 하나씩 간단하게 정리해보도록 합시다.
RPM 51p 347번
개념 9. 복소수들간의 사칙연산시 주의해야할 점
$i$를 이용해 $\sqrt{}$ 안의 남은 수는 양수로 정리해 풀기
$a < 0, b < 0$ 인 경우 → $\sqrt{a} \sqrt{b} =$ $-$ $\sqrt{ab}$
그 외의 경우는: $\sqrt{a} \sqrt{b} = \sqrt{ab}$
$a < 0, b > 0$ 인 경우 → $\frac{\sqrt{b}}{\sqrt{a}} =$ $-$ $\sqrt{\frac{b}{a}}$
그 외의 경우는: $\frac{\sqrt{b}}{\sqrt{a}} = \sqrt{\frac{b}{a}}$
...
위의 개념을 사용하는 문제 입니다. 어느 경우인지 판단 후 바로바로 정리해서 넘어가줘야 하는 문제 입니다!
1)
$a = -2, b = 3$ 이라하면 $a < 0, b > 0$로 그 외의 경우: $\sqrt{a} \sqrt{b} = \sqrt{ab}$
$ \sqrt{-2} \cdot \sqrt{3} = \sqrt{(-2) \times (3)} = \sqrt{-6} $
2)
$a = -2, b = -3$ 이라하면 $a < 0, b < 0$ 인 경우 : $\sqrt{a} \sqrt{b} =$ $-$ $\sqrt{ab}$
$ \sqrt{-2} \cdot \sqrt{-3} = -\sqrt{(-2) \times (-3)} $
3)
$a = 3, b = -2$ 라하면 $a > 0, b < 0$이므로 그 외의 경우 : $\frac{\sqrt{b}}{\sqrt{a}} = \sqrt{\frac{b}{a}}$
$ \frac{\sqrt{-2}}{\sqrt{3}} = \frac{\sqrt{-2}}{\sqrt{3}} = \sqrt{-\frac{2}{3}} $
4)
$a = -3, b = -2$ 라하면 $a < 0, b < 0$이므로 그 외의 경우 : $\frac{\sqrt{b}}{\sqrt{a}} = \sqrt{\frac{b}{a}}$
$ \frac{\sqrt{-2}}{\sqrt{-3}} = \sqrt{\frac{-2}{-3}} = \sqrt{\frac{2}{3}} $
5)
$a = -3, b = 2$ 라하면 $a < 0, b > 0$ 인 경우 : $\frac{\sqrt{b}}{\sqrt{a}} =$ $-$ $\sqrt{\frac{b}{a}}$
$ \frac{\sqrt{2}}{\sqrt{-3}} = -\frac{\sqrt{2}}{\sqrt{-3}} = -\sqrt{-\frac{2}{3}} $
$\therefore $ 5번.
RPM 51p 349번
$i$를 이용해 $\sqrt{}$ 안의 남은 수는 양수로 정리해 풀어보도록 할께요.
바로 위의 문제 처럼 바로 공식을 이용해 정리해 주셔도 됩니다.

$\therefore 0$
RPM 51p 350번
개념원리 101p 연습문제 208에서 한번 했던 문제 입니다.
이때 두가지 방법으로 풀이를 했었는데요, 이번 문제에서도 두가지 풀이 모두 정리하도록 하겠습니다.
루트 안의 부호 먼저 판단해주면,
$-2 < x < 2$
- 양변에 $+2$ : $0 < x + 2 < 4$, 여기에서 $-1$을 곱하면 $0 > -(x + 2) > -4$
- 양변에 $-2$ : $-4 < x - 2 < 0$, 여기에서 $-1$을 곱하면 $4 > -(x - 2) > 0$
풀이 1)
기본 법칙은 $i$를 이용해 $\sqrt{}$ 안의 남은 수는 양수로 정리해 풀기 입니다.

- 루트안이 양수가 되게 식을 정리
- $\sqrt{A^2} = |A|$로 정리
- 절댓값 안의 식이 양수면 그대로, 음수면 $-$ (마이너스) 부호를 달고 나오는데,
- 둘다 절댓값 안이 양수이므로 그대로 절댓값 기호를 괄호로 바꿔줍니다.
풀이2)
$a < 0, b < 0$ 인 경우 → $\sqrt{a} \sqrt{b} =$ $-$ $\sqrt{ab}$
그 외의 경우는: $\sqrt{a} \sqrt{b} = \sqrt{ab}$
이 공식만 사용하여 계속 정리하는 방법 입니다. 어떤 것을 같이 하던 상관없다 했었죠?
이번에는 주어진 식 순서로 차례대로 계산해 보도록 할께요.

- 처음은 " 그 외의 경우는: $\sqrt{a} \sqrt{b} = \sqrt{ab}$ "을 써주지만
- 그 다음은 $a < 0, b < 0$ 인 경우 → $\sqrt{a} \sqrt{b} =$ $-$ $\sqrt{ab}$을 사용하여 정리 후
- $\sqrt{A^2} = |A|$로 정리
- 절댓값 안의 식이 양수면 그대로, 음수면 $-$ (마이너스) 부호를 달고 나오는데,
- $x^2-4$는 음수 이므로 앞의 부호 바꾸면서 절댓값 기호 괄호로 바꿔 줍니다.
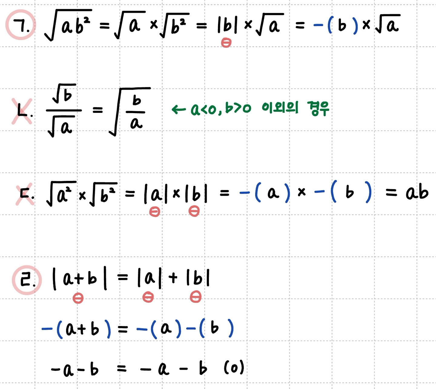
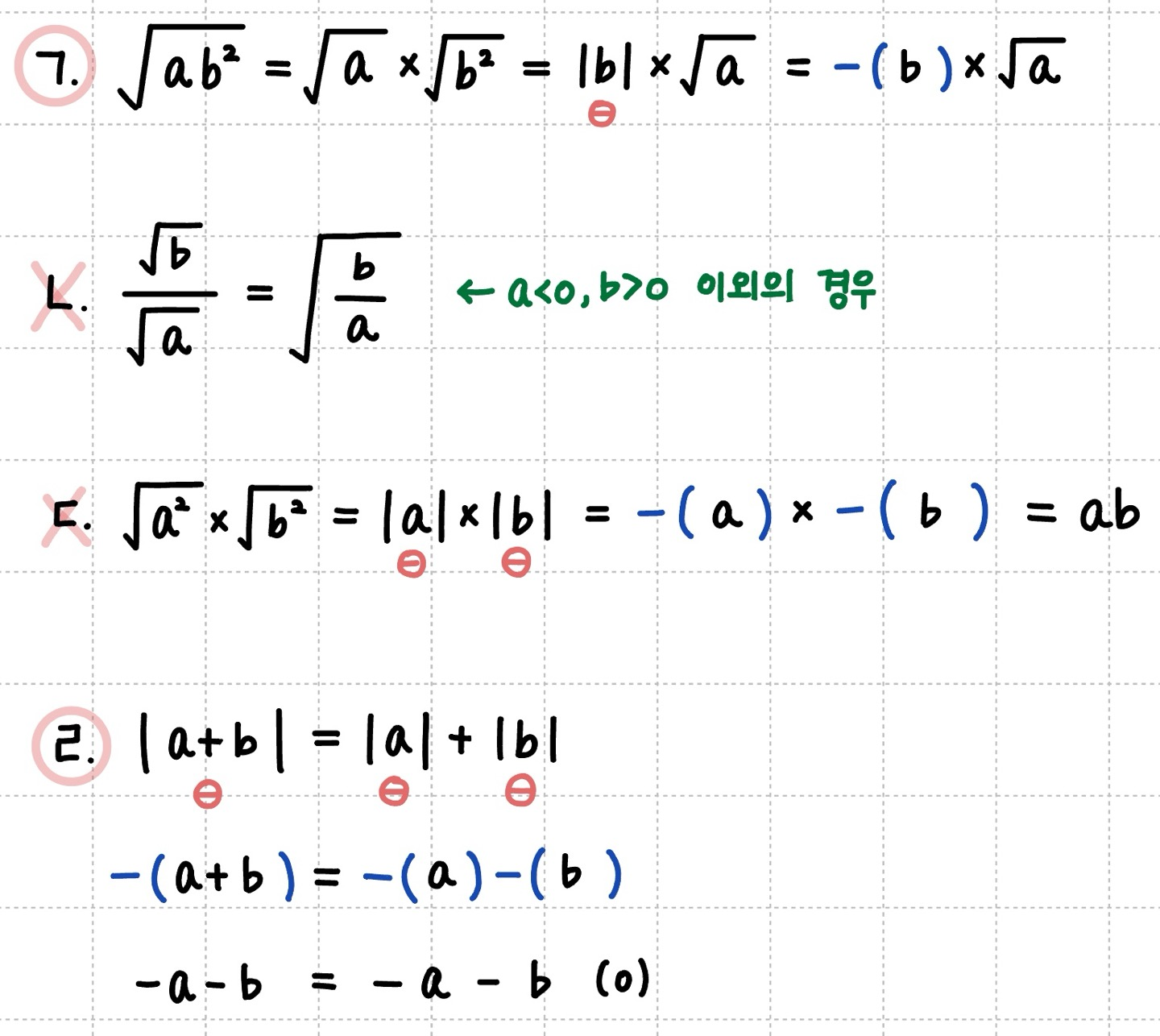
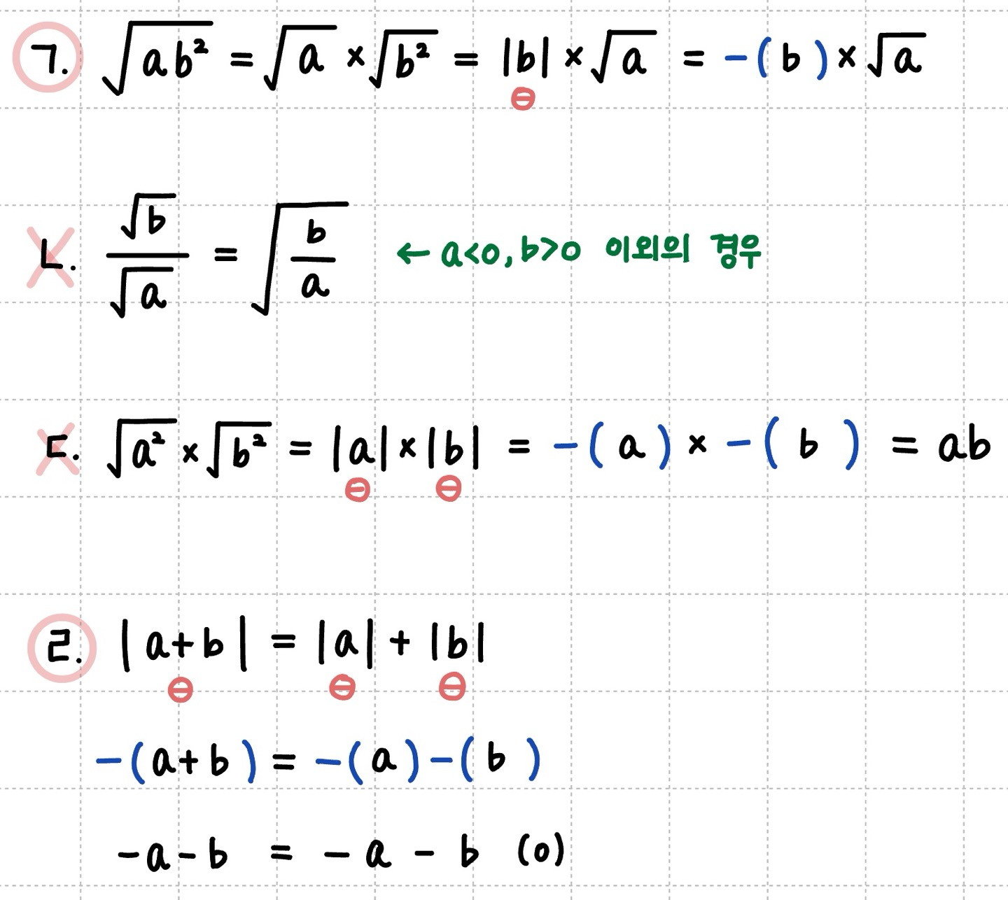
RPM 51p 353번
- $\sqrt{A^2} = |A|$ 정리
절댓값 안의 식 양수 → 절댓값 기호 대신 괄호
절댓값 안의 식 음수 → 앞의 부호 바꾸고 절댓값 기호 대신 괄호
위의 개념을 계속 생각하면서 익숙해 지도록 합시다.
$\sqrt{a} \sqrt{b} = -\sqrt{ab} \Rightarrow a < 0, b < 0$ 또는 $a = 0$ 또는 $b = 0$
$0$이 아닌 두 실수이므로 $a < 0, b < 0$

"추가로 필요한 자료/ 문제에 대한 다른 풀이 방법/ 글을 읽다 궁금한 점은 댓글로 남겨주세요!"
"이 블로그는 개념원리 교재를 참고하여 학습 내용을 정리하였으며, 저작권 보호를 위해 원문 문제는 제공하지 않고 제 풀이와 학습 팁을 중심으로 구성하여 독창적인 풀이와 함께 효율적인 학습 방법을 공유합니다."
'공통수학 1 개념' 카테고리의 다른 글
| 공통수학 1 - 2 - 9. 복소수 - RPM 주요 문제 풀이 3 (0) | 2025.03.04 |
|---|---|
| 공통수학 1 - 2 - 8. 복소수 - RPM 주요 문제 풀이 2 (1) | 2025.03.02 |
| 공통수학 1 - 2 - 6. 방정식과 부등식 - 복소수 예제 문제. 연습 문제 풀이 6 (0) | 2025.02.26 |
| 공통수학 1 - 2 - 5. 방정식과 부등식 - 복소수 개념정리 (1) | 2025.02.24 |
| 공통수학 1 - 2 - 4. 방정식과 부등식 - 복소수 연습문제 풀이 (0) | 2025.02.22 |