2단원 - 1. 복소수
📌 복소수 개념 및 문제 풀이 | RPM 공통수학 1 (53p~54p) 핵심 정리
복소수 개념을 이해하고 문제를 정확히 푸는 것은 서술형 시험과 실전 수학 실력 향상의 핵심입니다. 이번 글에서는 RPM 공통수학 1 (53p~54p) 복소수 개념 정리 및 문제 풀이법을 다룹니다.
📌 이 글에서 다룰 내용
✔ 복소수 연산법 및 순환성 개념 정리
✔ 서술형 문제 풀이 과정 작성법
✔ 실전 대비! 자주 실수하는 부분과 해결 전략
이 정리를 통해 복소수 개념을 체계적으로 익히고 문제 풀이 실력을 높일 수 있습니다. 🚀
RPM 공통수학 1 : 53p~ 54p
"모바일 접속 시 함수가 보이지 않을 수 있습니다. 태블릿이나 컴퓨터 또는 chrome(크롬)을 이용해 접속해 주세요."
RPM 53p 362번
$f(1,3)$, $f(2,6)$, $f(3,9)$, $f(4,12)$, $f(5,15)$ 를 하나하나 계산하기에는 매우 귀찮습니다.
이 값들의 특징을 보면, 전부 $f(a,b)$에서 $3a=b$의 관계라는 특징을 먼저 뽑아냈다면 간편했을 문제 입니다.
- $f(a, b) = \frac{a - b i}{a + b i}$ 식에 $3a=b$ 관계를 대입하여 정리
$f(a, 3a) = \frac{a - 3a i}{a + 3a i} = \frac{1 - 3i}{1 + 3i} = \frac{1 - 6i - 9}{10} = \frac{-8 - 6i}{10}$
즉, $f(a, 3a) = \frac{-8 - 6i}{10}$
- 구하고자 하는 값 $f(a, 3a)$가 5개 있음
$5 \times \frac{-8 - 6i}{10} = \frac{-8 - 6i}{2} = -4 - 3i$
$\therefore -4 - 3i$
RPM 53p 364번
먼저 주어진$z$를 실수부분과 허수부분이 보이도록 정리해 줍니다.
$z = (2+i)(x-i) = (2x+1) + (x-2)i$
간단하게 $z = c + di$ 라 두고 정리해 보면,
$z^2 = (c^2 - d^2) + 2cdi$
$z^2$이 양의 실수이기 위해 $c \neq 0$, $d = 0$ 입니다.
- $2x+1 \neq 0$, $x-2 = 0$
- $\therefore x = 2$
- $a=2$
$z^2$이 음의 실수이기 위해 $c = 0$, $d \neq 0$ 입니다.
- $2x+1 = 0$, $x-2 \neq 0$
- $\therefore x = -\frac{1}{2}$
- $b= -\frac{1}{2}$
$a = 2$, $b = -\frac{1}{2}$ 이므로 $\frac{a}{b} = -4$
RPM 53p 366번

자주 본 조건이 나온다면 바로 풀이에 들어갈 수 있어야해요.
혹시나 이 내용이 기억나지 않는다면 $z = a + bi$라 두고 조건을 봐주시면 되고 복소수 단원을 한번더 정리하시길 추천드려요!
$z = (x^2 - 5x + 4) + (x - 2)i$ 이므로 실수부 $ x^2 - 5x + 4 $ 가 0이여야함
$x^2 - 5x + 4 = 0$
$(x - 1)(x - 4) = 0$
$x = 1 , \text{or} , x = 4$
$\therefore$ $1 + 4 = 5$
RPM 54p 369번
개념 9. 복소수들간의 사칙연산시 주의해야할 점
$i$를 이용해 $\sqrt{}$ 안의 남은 수는 양수로 정리해 풀기
$a < 0, b < 0$ 인 경우 → $\sqrt{a} \sqrt{b} =$ $-$ $\sqrt{ab}$
그 외의 경우는: $\sqrt{a} \sqrt{b} = \sqrt{ab}$
$a < 0, b > 0$ 인 경우 → $\frac{\sqrt{b}}{\sqrt{a}} =$ $-$ $\sqrt{\frac{b}{a}}$
그 외의 경우는: $\frac{\sqrt{b}}{\sqrt{a}} = \sqrt{\frac{b}{a}}$
...
$\sqrt{}$ 안의 부호를 먼저 판단 해 줍니다.
$b < a < 0$ 의 양변에 $-b$
$0 < a - b < -b$
$\therefore , a - b$ 양수
풀이 1) $i$이용해 루트안 양수로 정리 후 계산

풀이 2) 공식 바로 적용

RPM 54p 370번
ㄱ.
켤레부호 각각 적용가능 (쪼개기 가능)
$\therefore$ 참
ㄴ.
$z^2$이 실수면 ($z$의) 실수부분 = 0 또는 허수부분 = 0 입니다.
$z = a + bi$라 하면, $a = 0$ 또는 $b = 0$입니다.

이때, $(z-1)^2$도 무조건 실수가 되는지 보도록 하겠습니다.
$(z-1)^2$이 실수이려면, ($z-1$의) 실수부분 = 0 또는 허수부분 = 0 이여야 하는데,
$z - 1 = (a - 1) + bi$로
$a = 0$이고 $b \neq 0$인 경우에서 ($z-1$의) 실수부분 = 0 또는 허수부분 = 0이 성립하지 않으므로 무조건
$z^2$이 실수가 된다고해서 $(z-1)^2$가 실수라고 할 수 없습니다.
결론 :)
$z^2$이 실수이면 ( $a = 0$ 또는 $b = 0$ 이면) $(z-1)^2$은 ($a = 0$이고 $b \neq 0$인 경우 때문에) 무조건 실수라 할 수는 없음
$\therefore$ 거짓
ㄴ. 다른 풀이 )
"$z^2$이 실수이면 $(z-1)^2$도 실수이다"라는 명제의 거짓을 보이기 위해 반례를 생각하는 방법도 있습니다.
"$z^2$이 실수이면 $(z-1)^2$도 실수가 아니다"의 예를 찾아주면 되는 것 입니다.
반례:
$z = i$ 이면 $z^2 = -1$ 실수
↓
$z - 1 = -1 + i$ 이므로 $(z - 1)^2 = -2 i$ 로 실수가 아니다.
$\therefore$ 거짓
ㄷ.
$z$와 $w$가 켤레관계이면 합, 곱 모두 실수 (RPM 52p 355번 참고)
$\therefore$ 참
RPM 54p 372번
$z = (x + y - 2) + (x - y + 6)i$
- $z = a + bi$라 하면 $z \overline{z} = a^2 + b^2 = 0 \quad \Rightarrow \quad a = 0, b = 0$
$ z \overline{z} = (x + y - 2)^2 + (x - y + 6)^2 = 0$
$x + y - 2 = 0, \quad x - y + 6 = 0$
두 식을 연립하면,

$\therefore$ $x^2 + y^2 = 4 + 16 = 20$
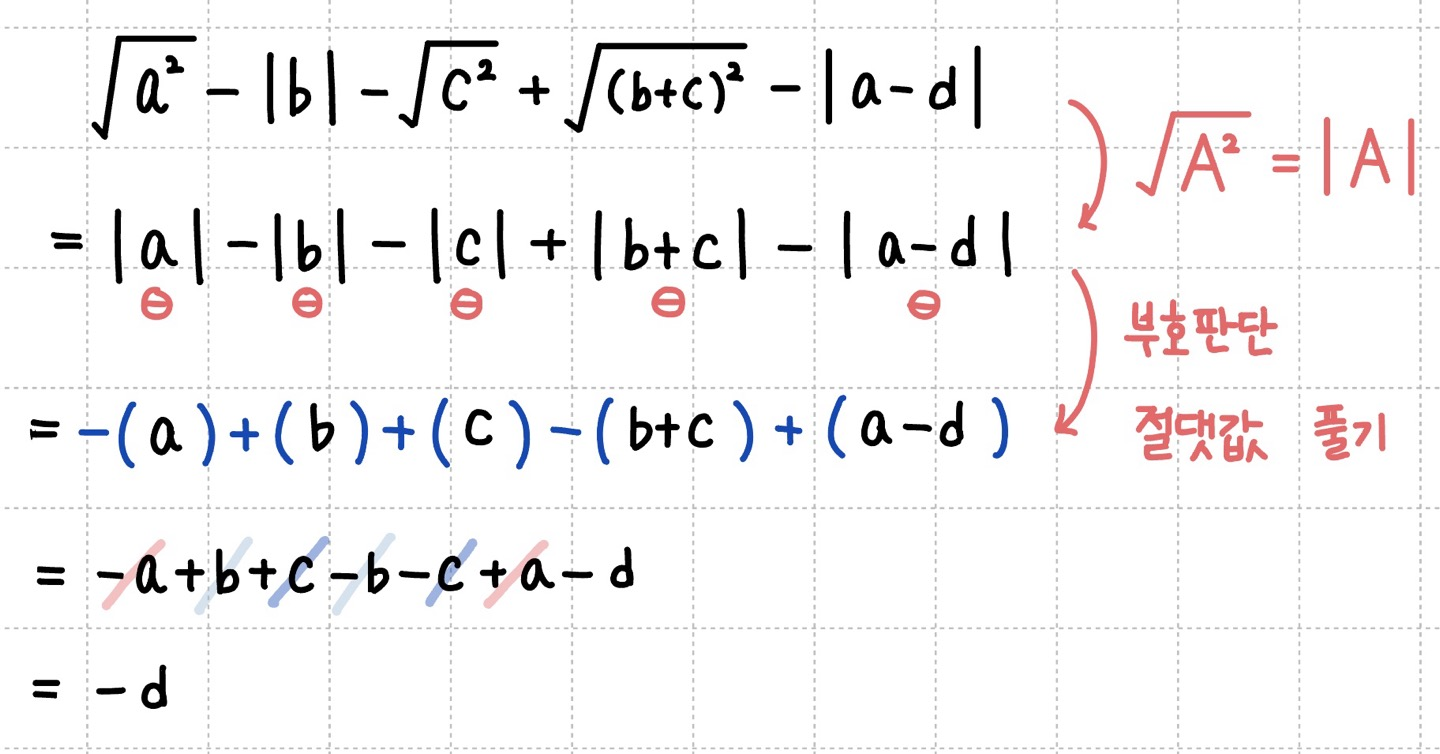
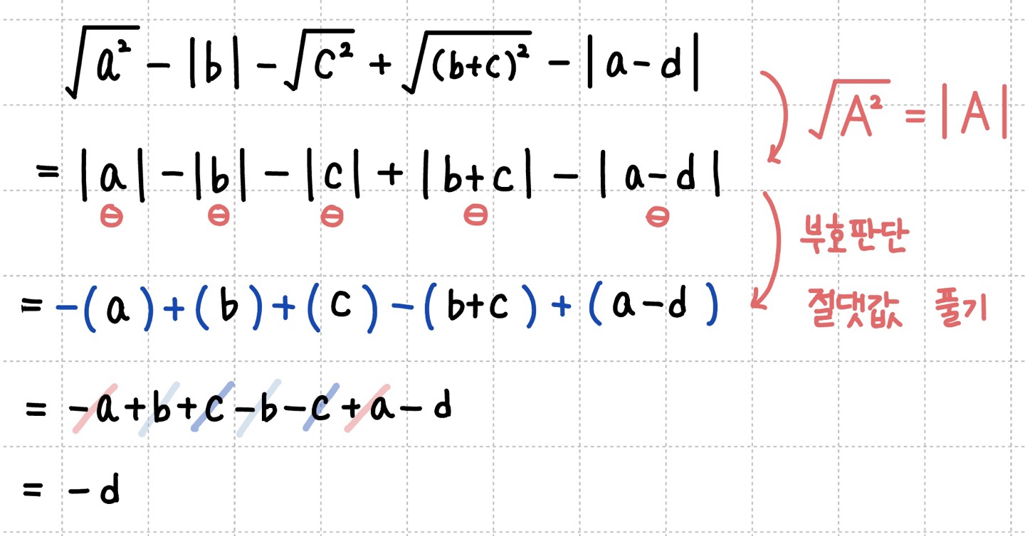
RPM 54p 373번
- $\sqrt{a} \sqrt{b} = -\sqrt{ab}$
$\Rightarrow a < 0, b < 0 \quad \text{또는} \quad a = 0 \quad \text{또는} \quad b = 0$ - $\frac{\sqrt{d}}{\sqrt{c}} = -\sqrt{\frac{d}{c}}$
$\Rightarrow c < 0, d > 0 \quad \text{또는} \quad d = 0$
$0$이 아닌 네 실수 $a, b, c, d$이므로 $a < 0, b < 0, c < 0, d > 0$

$\therefore$ $-d$
RPM 54p 374번
풀이1) 규칙성
하나씩 구조를 보면서 규칙을 파악해 줍니다.

$z_n$에서
- $n$이 홀수인 경우) $ z_1 $에 $(1-i)$부터 $(1+i)$가 번갈아가며 $n-1$번 더해지게 됩니다.
- $n$이 짝수인 경우) $ \overline{z_1}$에 $(1+i)$부터 $(1-i)$가 번갈아가며 $n-1$번 더해지게 됩니다.
이를 식으로 일반화 해보도록 할께요.


구하고자하는 $z_100$을 구해주면, 100은 짝수이므로
$z_{100} = \overline{z_1} + (98) + (1 + i)$
$= 1 - 2i + (98) + (1 + i)$
$= 100 - i$
$\therefore$ $100 - i$
위의 풀이는 규칙에 집중해서 일반화 시킨 것이고 물론 하나하나 값을 구해가며 일반화 시키는 방법도 있습니다.
다른풀이:) 값을 일반화
$z_1 = 1 + 2i \text{이므로}$
$z_2 = \overline{z_1} + (1 + i) = (1 - 2i) + (1 + i) = 2 - i$
$z_3 = \overline{z_2} + (1 + i) = (2 + i) + (1 + i) = 3 + 2i$
$z_4 = \overline{z_3} + (1 + i) = (3 - 2i) + (1 + i) = 4 - i$
$z_5 = \overline{z_4} + (1 + i) = (4 + i) + (1 + i) = 5 + 2i$
$\vdots$
결과에서 실수부분은 $n$의 값과 같고 허수부분은 $n$이 짝수일때 -1, $n$이 홀수일 때 $2i$로 정리 됩니다.
$z_n = \begin{cases} n + 2i & (n \text{은 홀수}) \ n - i & (n \text{은 짝수}) \end{cases}$
$\therefore z_{100} = 100 - i$
RPM 54p 375번
규칙성을 봐주기 위해 $n$에 값을 넣어가며 계산해 줍니다.


값이 1로 초기화 되므로 결국 순환성을 가진다는 것을 알 수 있겠죠.
- $z_1 = \frac{\sqrt{2}}{1 + i}, z_2 = \frac{\sqrt{3} + i}{2}$라 하면,
- $(z_1)^n + (z_2)^n = 2$ 이기 위해
- $(z_1)^n = 1, (z_2)^n = 1$
$(z_1)^n = 1$ 이기 위해 $n$은 8의 배수
$(z_2)^n = 1$ 이기 위해 $n$은 12의 배수
따라서,
$n \text{은 } 8 \text{과 } 12 \text{의 공배수, 즉 } n \text{은 } 24 \text{의 배수}$
$n$은 8과 12의 공배수인 것이므로 $n$은 24의 배수일 때 $(z_1)^n + (z_2)^n = 2$ 만족
문제에서 최솟값 $n$을 구하라 하였으므로 $n=24$
"추가로 필요한 자료/ 문제에 대한 다른 풀이 방법/ 글을 읽다 궁금한 점은 댓글로 남겨주세요!"
"이 블로그는 개념원리 교재를 참고하여 학습 내용을 정리하였으며, 저작권 보호를 위해 원문 문제는 제공하지 않고 제 풀이와 학습 팁을 중심으로 구성하여 독창적인 풀이와 함께 효율적인 학습 방법을 공유합니다."
'공통수학 1 개념' 카테고리의 다른 글
| 공통수학 1 - 2 - 11. 절댓값 기호를 포함한 방정식 (0) | 2025.03.08 |
|---|---|
| 공통수학 1 - 2 - 10. 일차 방정식과 이차 방정식 (0) | 2025.03.06 |
| 공통수학 1 - 2 - 8. 복소수 - RPM 주요 문제 풀이 2 (1) | 2025.03.02 |
| 공통수학 1 - 2 - 7. 복소수 - RPM 주요 문제 풀이 1 (0) | 2025.02.28 |
| 공통수학 1 - 2 - 6. 방정식과 부등식 - 복소수 예제 문제. 연습 문제 풀이 6 (0) | 2025.02.26 |