2단원 - 1. 복소수
✅ 복소수 문제 풀이
복소수 개념을 확실히 익히려면 직접 문제를 풀어보는 것이 중요합니다. 이번 글에서는 개념원리 공통수학 1 (95p~101p)의 복소수 연습문제 풀이를 통해 핵심 개념을 정리하고, 실전 문제 해결력을 높이는 방법을 배웁니다.
✔ 복소수의 순환성과 $i$의 거듭제곱 패턴 정리
✔ 복소수 연산 시 실수하기 쉬운 부분 분석 및 해결 전략
✔ 개념원리 연습문제 95p~101p 풀이 및 해설 제공
복소수 문제 풀이를 통해 실력을 높이고, 서술형 시험에서도 감점을 피할 수 있도록 풀이 과정을 체계적으로 정리했습니다. 이 글을 통해 복소수를 완벽하게 이해하고, 문제 해결 능력을 키워보세요! 🚀
개념원리 공통수학 1 : 95p~ 101p
"모바일 접속 시 함수가 보이지 않을 수 있습니다. 태블릿이나 컴퓨터 또는 chrome(크롬)을 이용해 접속해 주세요."
1-1. 확인체크
개념원리 97p 확인체크 190
복소수의 순환성을 이용하는 문제입니다. 순환성이 보이도록 정리해 보도록 할께요.

결국 계산은 첫번째 세로줄과 세번째 세로줄이 계산되고, 두번째 세로줄과 네번째 세로줄이 계산되게 됩니다.
분자도 2씩 차이가 나게 되기 때문에 4개씩의 합은 동일하다는 것을 알 수 있습니다.
- $\frac{4k + 1}{i^{4k + 1}} + \frac{4k + 3}{i^{4k + 3}} = \frac{4k + 1}{i} - \frac{4k + 3}{i} = \frac{-2}{i}$
- $\frac{4k + 2}{i^{4k + 2}} + \frac{4k + 4}{i^{4k + 4}} = -(4k + 2) + (4k + 4) = 2$
$48$은 $4 \times 12$이므로 $2 - \frac{2}{i} = 2 + 2i$가 $12$개 있음
$\frac{49}{i} = -49i$
(주어진 식)
$= 12 \times (2 + 2i) - 49i - 50$
$= 24 + 24i - 49i - 50$
$= -25i - 26$
$a + bi = -26 - 25i$ → $a = -26, b = -25$
$b - a = -25 + 26 = 1$
$\therefore 1$
개념원리 98p 확인체크 193
$\frac{i + 1}{i - 1} = \frac{(i + 1)(i + 1)}{(i - 1)(i + 1)} = \frac{2i}{i^2 - 1} = -i$
$(-i)^n = i$를 만족시키는 자연수 $n$
$(-i)^1 = -i$, $(-i)^2 = -1$, $(-i)^3 = i$, $(-i)^4 = 1$, $\cdots$
문제에서 최솟값 n 구하라 하였으므로 답은 3
- 추가 설명:)
$(-i)^4 = 1$로 값을 1을 가지게 되면서 순환성 가지게 됨 (1로 초기화 됨)
$-i, -1, i, 1$ 로 반복됨
일반화 하면, $(-i)^n = i$를 만족시키는 자연수 $n = 4k + 3$ 꼴
$\therefore 3$
개념원리 99p 확인체크 196번
개념 9. 복소수들간의 사칙연산시 주의해야할 점
...
(추가)
$\sqrt{a} \sqrt{b} =$ $-$ $\sqrt{ab}$ → $a < 0, b < 0$ 또는 $a=0$ 또는 $b=0$
$\frac{\sqrt{b}}{\sqrt{a}} =$ $-$ $\sqrt{\frac{b}{a}}$ → $a < 0, b > 0$ 또는 $b=0$
위의 개념을 사용하는 문제 입니다.
$\sqrt{a - 4} \sqrt{1 - a} = -\sqrt{(a - 4)(1 - a)}$
- $\sqrt{a} \sqrt{b} = -\sqrt{a \cdot b}$ 이면 $a < 0, b < 0$ 또는 $a = 0$ 또는 $b = 0$
$a - 4 < 0, 1 - a < 0$ 또는 $a - 4 = 0$ 또는 $1 - a = 0$
$1 < a < 4$ 또는 $a = 4$ 또는 $a = 1$
하지만, 문제에서 $a \neq 4$, $a \neq 1$이라 하였으므로 $1 < a < 4$

절댓값 정리는 3step으로 정리 한다고 지난 글에서 설명하였습니다.
$\therefore 3$
1-2. 연습문제
개념원리 100p 연습문제 197

$28 = 4 \times 7$이므로 $-2i - 2$가 7개 있습니다.
(주어진 식)
$= 7 \times (-2i - 2) + 29i + 30$
$= -14i - 14 + 29i + 30$
$= 15i + 16$
$p + qi = 16 + 15i$이므로 $p = 16, q = 15$
$p - q = 16 - 15 = 1$
개념원리 100p 연습문제 198
식을 거듭제곱해보고 간단한 꼴을 찾아야 합니다. 여기서는 문제에 주어진 지수가 $4n$, $4n+2$ 입니다.
$\left( \frac{1 + i}{\sqrt{2}} \right)^1 = \left( \frac{1 + i}{\sqrt{2}} \right)$
$\left( \frac{1 + i}{\sqrt{2}} \right)^2 = \frac{(1 + i)^2}{\sqrt{2}^2} = \frac{2i}{2} = i$ ← 간단
- $\left( \frac{1 + i}{\sqrt{2}} \right)^{4n} = \left( \left( \frac{1 + i}{\sqrt{2}} \right)^2 \right)^{2n} = (i)^{2n}$
$\left( \frac{1 - i}{\sqrt{2}} \right)^1 = \left( \frac{1 - i}{\sqrt{2}} \right)$
$\left( \frac{1 - i}{\sqrt{2}} \right)^2 = \frac{(1 - i)^2}{\sqrt{2}^2} = \frac{-2i}{2} = -i$
- $\left( \frac{1 - i}{\sqrt{2}} \right)^{4n + 2} = \left( \left( \frac{1 - i}{\sqrt{2}} \right)^2 \right)^{2n+1} = (-i)^{2n+1}$
항상 좌변과 우변의 값이 같은지 생각하면서 식을 이어쓸 수 있어야해요.
어렵더라도 꼭 이렇게 연습하도록 합시다!
(주어진 식)
$i^{2n} + (-i)^{2n + 1}$
$= i^{2n} + (-1)^{2n + 1} \cdot (i^{2n + 1})$
- $2n$은 $4$의 배수이므로
- $i^{2n} = i^{4k} =1$
- $i^{2n + 1} = i^{4k + 1} = i$
- $2n + 1$은 홀수이므로 $(-1)^{2n + 1} = -1$
$= 1 + (-i)$
$\therefore 1 - i$
개념원리 100p 연습문제 200
개념 9. 복소수들간의 사칙연산시 주의해야할 점
$i$를 이용해 $\sqrt{}$ 안의 남은 수는 양수로 정리해 풀기
$a < 0, b < 0$ 인 경우 → $\sqrt{a} \sqrt{b} =$ $-$ $\sqrt{ab}$
그 외의 경우는: $\sqrt{a} \sqrt{b} = \sqrt{ab}$
$a < 0, b > 0$ 인 경우 → $\frac{\sqrt{b}}{\sqrt{a}} =$ $-$ $\sqrt{\frac{b}{a}}$
그 외의 경우는: $\frac{\sqrt{b}}{\sqrt{a}} = \sqrt{\frac{b}{a}}$
위의 개념을 사용하는 문제 입니다. 어떤 경우인지 판단하고 바로 참 거짓을 판단할 수 있어야 합니다!
ㄱ.
$-2$를 $a$, $-5$를 $b$라 하면
$a < 0, b < 0$이므로 $a < 0, b > 0$ 이외의 경우에 해당 됩니다.
→ $\frac{\sqrt{b}}{\sqrt{a}} = \sqrt{\frac{b}{a}} = \sqrt{\frac{-5}{-2}}$

$\frac{\sqrt{-5}}{\sqrt{-2}} =$ $\frac{\sqrt{b}}{\sqrt{a}} = \sqrt{\frac{b}{a}}$ $= \sqrt{\frac{-5}{-2}}$
$\therefore$ 참
ㄴ.
$2$를 $a$, $-5$를 $b$라 하면
$a > 0, b < 0$이므로 $a < 0, b > 0$ 이외의 경우에 해당 됩니다.
→ $\frac{\sqrt{-5}}{\sqrt{2}} =$ $\frac{\sqrt{b}}{\sqrt{a}} = \sqrt{\frac{b}{a}}$ $= \sqrt{\frac{-5}{2}}$
$\therefore$ 참
ㄷ.
$-2$를 $a$, $5$를 $b$라 하면
$a < 0, b > 0$이므로
→ $\frac{\sqrt{5}}{\sqrt{-2}} =$ $ \frac{\sqrt{b}}{\sqrt{a}} = -\sqrt{\frac{b}{a}}$ $= -\sqrt{\frac{5}{-2}}$
$\therefore$ 거짓
ㄹ.
$-2$를 $a$, $5$를 $b$라 하면
$a < 0, b > 0$이므로 $a < 0, b > 0$이외의 경우에 해당 합니다.
→ $\sqrt{-2} \cdot \sqrt{5} =$ $\sqrt{a} \cdot \sqrt{b} = \sqrt{ab}$ $= \sqrt{(-2) \times 5}$
$\therefore$ 참
ㅁ.
$-2 = a, -5 = b$라 하면
$a < 0, b < 0$이므로
→ $\sqrt{-2} \cdot \sqrt{-5} =$ $\sqrt{a} \cdot \sqrt{b} = -\sqrt{ab}$ $= -\sqrt{(-2) \times (-5)}$
$\therefore$ 거짓
개념원리 100p 연습문제 202
개념 9. 복소수들간의 사칙연산시 주의해야할 점
...
(추가)
$\sqrt{a} \sqrt{b} =$ $-$ $\sqrt{ab}$ → $a < 0, b < 0$ 또는 $a=0$ 또는 $b=0$
$\frac{\sqrt{b}}{\sqrt{a}} =$ $-$ $\sqrt{\frac{b}{a}}$ → $a < 0, b > 0$ 또는 $b=0$
위의 개념을 사용하는 문제 입니다.
0이 아닌 실수라 했으므로 0이 되는 경우는 생략하고 결론을 뽑아주면,
$\sqrt{a} \sqrt{b} =$ $-$ $\sqrt{ab}$ → $a < 0, b < 0$
$\frac{\sqrt{c}}{\sqrt{b}} =$ $-$ $\sqrt{\frac{c}{b}}$ → $b < 0, c > 0$

차례 차례 식을 써가면서 하도록 합시다!!
$\therefore$ $-2a + 2c$
개념원리 101p 연습문제 204
복소수의 순환성! 이제 익숙해 졌죠? 이제 따로 쓰지 않고 바로 식정리를 해주도록 하겠습니다.

$\therefore z = \frac{1 + i}{1 - i} = \frac{(1 + i)^2}{(1 - i)(1 + i)} = \frac{2i}{2} = i$
$\therefore z^3 + z + 7 = i^3 + i + 7 = -i + i + 7 = 7$
개념원리 101p 연습문제 205

$z^n = (1 - i)^n$이 양의 정수가 되도록 하는 $n$의 최솟값을 구하라고 하였습니다.
거듭제곱을 직접해보며 규칙성을 찾아줘야 합니다.
$(1 - i)^1 = 1 - i$
$(1 - i)^2 = 1 - 2i - 1 = -2i$
$(1 - i)^4 = \left( (1 - i)^2 \right)^2 = (-2i)^2 = -4$
$(1 - i)^8 = \left( (1 - i)^4 \right)^2 = (-4)^2 = 8$
$\therefore$ 양의 정수가 되는 자연수 $n$의 최댓값 = $8$
개념원리 101p 연습문제 206
개념 9. 복소수들간의 사칙연산시 주의해야할 점
...
(추가)
$\sqrt{a} \sqrt{b} =$ $-$ $\sqrt{ab}$ → $a < 0, b < 0$ 또는 $a=0$ 또는 $b=0$
$\frac{\sqrt{b}}{\sqrt{a}} =$ $-$ $\sqrt{\frac{b}{a}}$ → $a < 0, b > 0$ 또는 $b=0$
위의 개념을 사용하는 문제 입니다.
조건 ①
0이 아닌 실수라 했으므로 0이 되는 경우는 바로 생략하고 결론을 뽑아주면,
$\sqrt{x} \sqrt{y} =$ $-$ $\sqrt{xy}$ → $x < 0, y < 0$
조건 ② $z^2 = -16$ 조건
간단하게 $z = a + bi$라 하면
$z^2 = (a^2 - b^2) + 2abi = -16$
- $a^2 - b^2 = -16$
- $2ab = 0 \Rightarrow a = 0 \text{ 또는 } b = 0$
두 결론을 모두 만족하기 위해, $a = 0$, $b^2 = 16$ $(b = \pm 4)$
$z$를 정리하여 조건 ②의 결론을 대입해주면,
$z = (x^2 + 3x - 18) + (1 - y)i$,
- $a = 0$, $x^2 + 3x - 18 = 0$ → $(x + 6)(x - 3) = 0$ → $x = -6$ 또는 $x = 3$
- 조건 ①에서 $x < 0$이므로 $x = -6$
- $b = \pm 4$ → $1 - y = +4$ 또는 $1 - y = -4$ → $ y = -3$ 또는 $y = 5$
- 조건 ①에서 $y < 0$이므로 $y = -3$
$\therefore xy = (-6)(-3) = 18$
차근차근 조건을 하나씩 쳐주시면 됩니다! 할만하죠!?
개념원리 101p 연습문제 207
좌변을 정리하면,
$(1 - i)^{2n} = ((1 - i)^2)^n = (-2i)^n$
$(-2i)^n = 2^n \cdot i$
- 우변에 $2^n$이 있어 좌변도 $2^n$이 보이게 정리해 줄 것 입니다.
- 최대한 좌변과 우변을 같은 꼴이 보이도록 정리하도록 할께요.
- $(ab)^n = a^n \cdot b^n$을 이용 → $(2)^n \cdot (-i)^n$
즉 , $(2)^n \cdot (-i)^n = 2^n \cdot i$
좌변과 우변이 같기 위해서는 $(-i)^n = i$
좌변의 식에 $n$을 1부터 대입해보며 거듭제곱 값을 구해보도록 하겠습니다.
- $n = 1$: $-i$
- $n = 2$: $(-i)^2 = i^2 = -1$
- $n = 3$: $(-i)^3 = -i^3 = i$
- $n = 4$: $(-i)^4 = i^4 = 1$
$n = 4$일 때 1로 값이 초기화되므로 $-i, -1, i, 1$이 순환한다는 것을 알 수 있습니다.
$n = 4k + 3$일 때 $(-i)^n = i$이 성립하게 되겠죠?
갯수만 구하는 것이므로 가능한 $k$ 갯수를 구해주면,
$4k + 3 \leq 100$
$4k \leq 97$
$k \leq \frac{97}{4} = 24.xx$
$k = 0$ ($n=3)부터 $k=24$($n=99)까지 $25$개가 됩니다.
개념원리 101p 연습문제 208
두가지 풀이로 풀어보도록 하겠습니다. 결국 같은 풀이긴하지만 혹시나 문제를 못푼 친구들이라면 기본 법칙부터 접근했어야 합니다.
개념 9. 복소수들간의 사칙연산시 주의해야할 점
$i$를 이용해 $\sqrt{}$ 안의 남은 수는 양수로 정리해 풀기
$a < 0, b < 0$ 인 경우 → $\sqrt{a} \sqrt{b} =$ $-$ $\sqrt{ab}$
그 외의 경우는: $\sqrt{a} \sqrt{b} = \sqrt{ab}$
$a < 0, b > 0$ 인 경우 → $\frac{\sqrt{b}}{\sqrt{a}} =$ $-$ $\sqrt{\frac{b}{a}}$
그 외의 경우는: $\frac{\sqrt{b}}{\sqrt{a}} = \sqrt{\frac{b}{a}}$
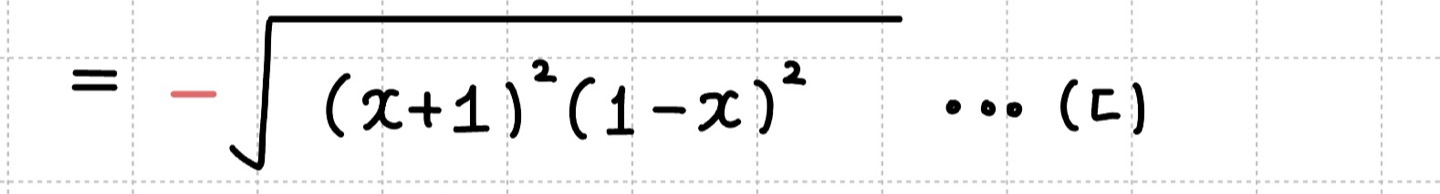
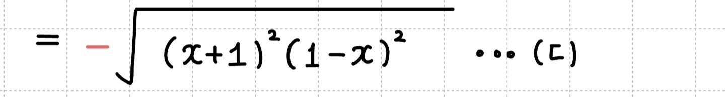
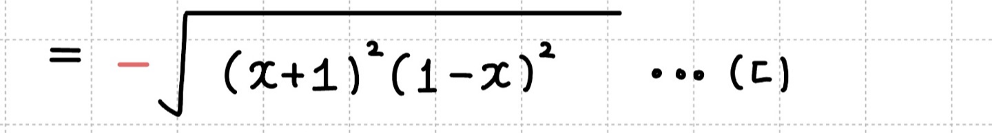
루트 안의 부호 먼저 판단해주면,
$-1 < x < 1$이므로
- 양변에 $+1$: $0 < x + 1 < 2$, 여기에 $-1$을 곱하면 $0 > -(x + 1) > -2$
- 양변에 $-1$: $-2 < x - 1 < 0$, 여기에 $-1$을 곱하면 $2 > -(x - 1) > 0$
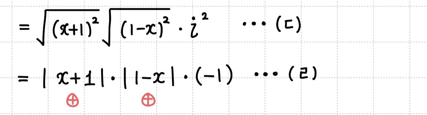
풀이 1)
기본 법칙은 $i$를 이용해 $\sqrt{}$ 안의 남은 수는 양수로 정리해 풀기 입니다.

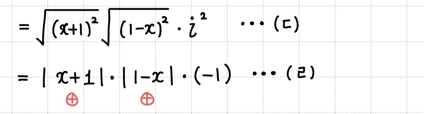
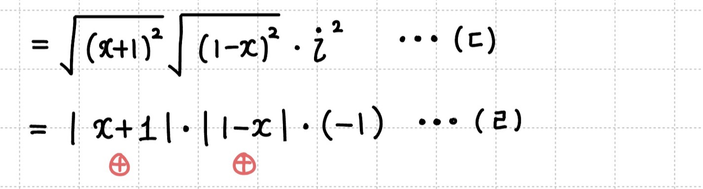
- (ㄱ)→(ㄴ) : 루트 안이 양수가 되도록 정리 후 계산해 주도록 하겠습니다.

- (ㄷ)→(ㄹ) : $\sqrt{A^2} = |A|$입니다. 절댓값 안의 식이 양수면 그대로, 음수면 $-$ (마이너스) 부호를 달고 나옵니다.
- (ㄹ) : 둘다 절댓값 안이 양수이므로 그대로 절댓값 기호를 괄호로 바꿔줍니다.
- 제일 뒤의 -(마이너스)를 앞으로 정리해 줍니다.

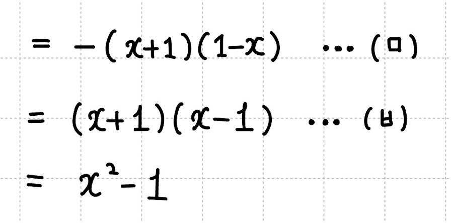
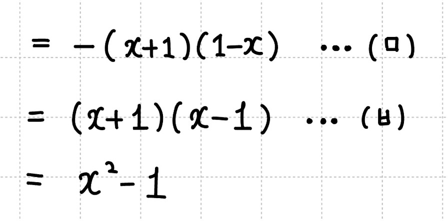
- (ㅁ)→(ㅂ) : $-(1-x) = x -1$ 정리
- $(a+b)(a-b) = a^2-b^2$ 공식을 이용하여 식을 정리해 줍니다.
$\therefore x^2-1$
이렇게 기본 법칙을 이용해 접근해 주도록 합시다.
풀이2) 특수한 경우만 생각
$a < 0, b < 0$ 인 경우 → $\sqrt{a} \sqrt{b} =$ $-$ $\sqrt{ab}$
그 외의 경우는: $\sqrt{a} \sqrt{b} = \sqrt{ab}$
이것만 사용하여 계속 정리하는 방법 입니다.

- 파란색은 파란색끼리 노란색은 노란색 끼리 계산해 줍니다. (어느 것을 같이 하던 상관 없습니다.)
- 한개는 양수, 한개는 음수로 "그 외의 경우의 경우"에 해당하므로 $\sqrt{a} \sqrt{b} = \sqrt{ab}$

- (ㄴ) → (ㄷ) : 루트안이 음수 & 음수
- $a < 0, b < 0$ 인 경우에 해당하므로 $\sqrt{a} \sqrt{b} =$ $-$ $\sqrt{ab}$

- (ㄷ) → (ㄹ) : $(a+b)(a-b) = a^2-b^2$ 공식을 이용하여 식을 정리해 줍니다.
- $(1-x)(1+x) = 1 - x^2$ 입니다.
- (ㄹ) → (ㅁ) : $\sqrt{A^2} = |A|$입니다. 절댓값 안의 식이 양수면 그대로, 음수면 $-$ (마이너스) 부호를 달고 나옵니다.
- (ㅁ) → (ㅂ) : 절댓값 안이 양수이므로 절댓값 부호가 괄호로 바뀝니다.
- 이후 식을 정리해 주시면 됩니다.
"추가로 필요한 자료/ 문제에 대한 다른 풀이 방법/ 글을 읽다 궁금한 점은 댓글로 남겨주세요!"
"이 블로그는 개념원리 교재를 참고하여 학습 내용을 정리하였으며, 저작권 보호를 위해 원문 문제는 제공하지 않고 제 풀이와 학습 팁을 중심으로 구성하여 독창적인 풀이와 함께 효율적인 학습 방법을 공유합니다."
'공통수학 1 개념' 카테고리의 다른 글
| 공통수학 1 - 2 - 8. 복소수 - RPM 주요 문제 풀이 2 (1) | 2025.03.02 |
|---|---|
| 공통수학 1 - 2 - 7. 복소수 - RPM 주요 문제 풀이 1 (0) | 2025.02.28 |
| 공통수학 1 - 2 - 5. 방정식과 부등식 - 복소수 개념정리 (1) | 2025.02.24 |
| 공통수학 1 - 2 - 4. 방정식과 부등식 - 복소수 연습문제 풀이 (0) | 2025.02.22 |
| 공통수학 1-2-3. 방정식과 부등식 - 복소수 필수예제 풀이 (1) | 2025.02.20 |