2단원 - 1. 복소수
✅ 복소수 문제 풀이 | RPM 공통수학 1 (52p) 핵심 정리 & 실전 대비
복소수 개념을 완벽하게 이해하기 위해서는 핵심 개념을 익히고 다양한 문제를 풀어보는 것이 중요합니다. 이번 글에서는 RPM 공통수학 1 (52p)의 복소수 문제 풀이를 통해 기본 개념을 정리하고, 실전에서 빠르고 정확하게 문제를 해결하는 방법을 배웁니다.
📌 이 글에서 다룰 주요 내용
✔ 복소수의 기본 개념 및 연산법 정리
✔ 복소수의 순환성과 거듭제곱 패턴 분석
✔ 서술형 문제에서 감점 없이 정확한 풀이 과정 작성법
✔ 실전 대비! 자주 실수하는 부분과 해결 전략
이번 정리를 통해 복소수 문제 풀이에 대한 체계적인 접근법을 익히고, 서술형 시험에서도 감점 없이 정답을 도출하는 연습을 할 수 있습니다. 🚀
RPM 공통수학 1 : 52p
"모바일 접속 시 함수가 보이지 않을 수 있습니다. 태블릿이나 컴퓨터 또는 chrome(크롬)을 이용해 접속해 주세요."
RPM 52p 354번
두 복소수 $\alpha = a + bi$ , $\beta = c + di$ 라고 두고 조건을 봐줄 준비를 합시다.
$\bar{\alpha} = \alpha \Rightarrow a + b i = a - b i \Rightarrow b = 0$
즉, $\alpha = \bar{\alpha}$이면 $\alpha = a$로 실수
$\therefore $ 참
ㄴ.
ㄱ,ㄴ,ㄷ 문제에서 참 거짓을 밝힐 때 식적으로 보기 힘들다면 반례를 이용해 참 거짓을 밝혀 주는 방법도 있습니다.
" 'p' 이면 'q'이다." 라는 문장의 참 거짓을 생각해 준다면, 'p'이지만 'q'가 아닌 예를 찾으면 p이면 전부 q라고 할 수 없으므로 거짓이라는 것을 알 수 있겠죠.
$\alpha^2 + \beta^2 = 0$
$(a^2 - b^2 + c^2 - d^2) + (2ab + 2cd)i = 0$
식적으로 $a,b,c,d$의 값을 구하기 어렵습니다.
반례를 찾아주는 풀이로 생각해보면,
$\alpha^2 + \beta^2 = 0$이면 $\alpha = \beta = 0$ 이냐고 물었으므로
$\alpha^2 + \beta^2 = 0$이지만 $\alpha = \beta = 0$이 아닌 예를 생각
$\alpha = 1$, $\beta = i$라 하면
$\alpha^2 + \beta^2 = 1 + i^2 = 0$ 이지만 $\alpha = \beta = 0$이 아님
$\therefore $ 거짓
ㄷ.

$\therefore $ 거짓
RPM 52p 355번
$z = a + b i$, $\omega = c + d i$ 라 하면
- 조건 1
실수 아닌 두 복소수이므로 $b \neq 0$, $d \neq 0$ - 조건 2
$z + \omega = (a + c) + (b + d)i$ = 실수
$\therefore b + d = 0$
$\Rightarrow$ $z = a + b i$, $\omega = c - b i$ - 조건 3
조건 2의 결론을 적용시켜 구하면 $z \omega = (a + b i)(c - b i) = a c + b^2 + (b c - a b)i$ = 실수
$\therefore b c - a b = 0$
$b c - a b = b(c - a) = 0$ → $b \neq 0$ 또는 $c - a = 0$
조건 1에 의해 $b \neq 0$ 이므로 $c = a$
$\therefore z = a + b i$, $\omega = a - b i$
💡 둘의 관계를 보면 서로 켤레관계인 것을 알 수 있습니다.
즉, 실수가 아닌 복소수가 $z + \omega$ , $z \omega$ 값이 실수라면 서로 켤레 관계인 것이죠.
켤레 관계의 두 복소수 ↔ 합&곱 실수
$\therefore \bar{z} = \omega$, $\bar{\omega} = z$
ㄱ.
$\overline{z - \omega} = \overline{z} - \overline{\omega} = \omega - z \quad (\neq z + \omega)$
$\therefore $ 거짓
ㄴ.
$\overline{z} - \omega = z - \overline{\omega}$
$\omega - \omega = z - z$
$0 = 0$
$\therefore $ 참
ㄷ.
$\overline{\left( \frac{\omega}{z} \right)} = \frac{\overline{\omega}}{\overline{z}} = \frac{z}{\omega}$
$\therefore $ 참
RPM 52p 356번
★ ★ 복소수 $\alpha$가 실수이면 $\alpha = \overline{\alpha}$ ★ ★
이 생각을 이용해서 풀어주는 문제가 고난도 문제에서 꽤 자주 등장하는 편입니다.
문제의 주어진 $z$를 식으로 두고 실제로 $\frac{1}{z^2 - 1}$의 값이 실수가 되게 미지수를 정하여 풀어 줄 수도 있겠지만, 풀이가 복잡해지므로 이 개념을 이용해 풀어보도록 하겠습니다.
$\frac{1}{z^2 - 1}$가 실수이므로 $\frac{1}{z^2 - 1} = \overline{\left( \frac{1}{z^2 - 1} \right)}$
- 양변 역수 취해주면
$z^2 - 1 = \overline{z^2 - 1}$
- 켤레 각 각 적용 가능
$z^2 - 1 = \overline{z}^2 - 1$
$z^2 = \overline{z}^2$
- 참고 : ) $x^2 = A \Rightarrow x = \pm\sqrt{A}$
- $z^2 = \overline{z}^2 \Rightarrow z = \pm\sqrt{\overline{z}^2} \Rightarrow z = \pm \overline{z}$
$\therefore z = \overline{z}$ 또는 $z = -\overline{z}$
- $z = \overline{z}$은 $z$가 실수라는 의미인데
- 문제에서 허수 $z$라 하였으므로
$\therefore z = -\overline{z}$
$\therefore z + \overline{z} = 0$
답: ④
RPM 52p 358번
구하고자 하는 식을 전개하면,
$(z_1 - 1)(2z_2 - 1)$
$= 2z_1z_2 - (z_1 + 2z_2) + 1$
- $z_1z_2$와 $z_1 + 2z_2$의 값을 구하기 위해
- 주어진 식의 양변을 켤레를 시켜줍니다.
- 개념7. 켤레 복소수의 성질에 의해 켤레 각각 적용 가능

$= 2(3 + 4i) - (2 - 5i) + 1$
$= 5 + 13i$
$\therefore $ $= 5 + 13i$
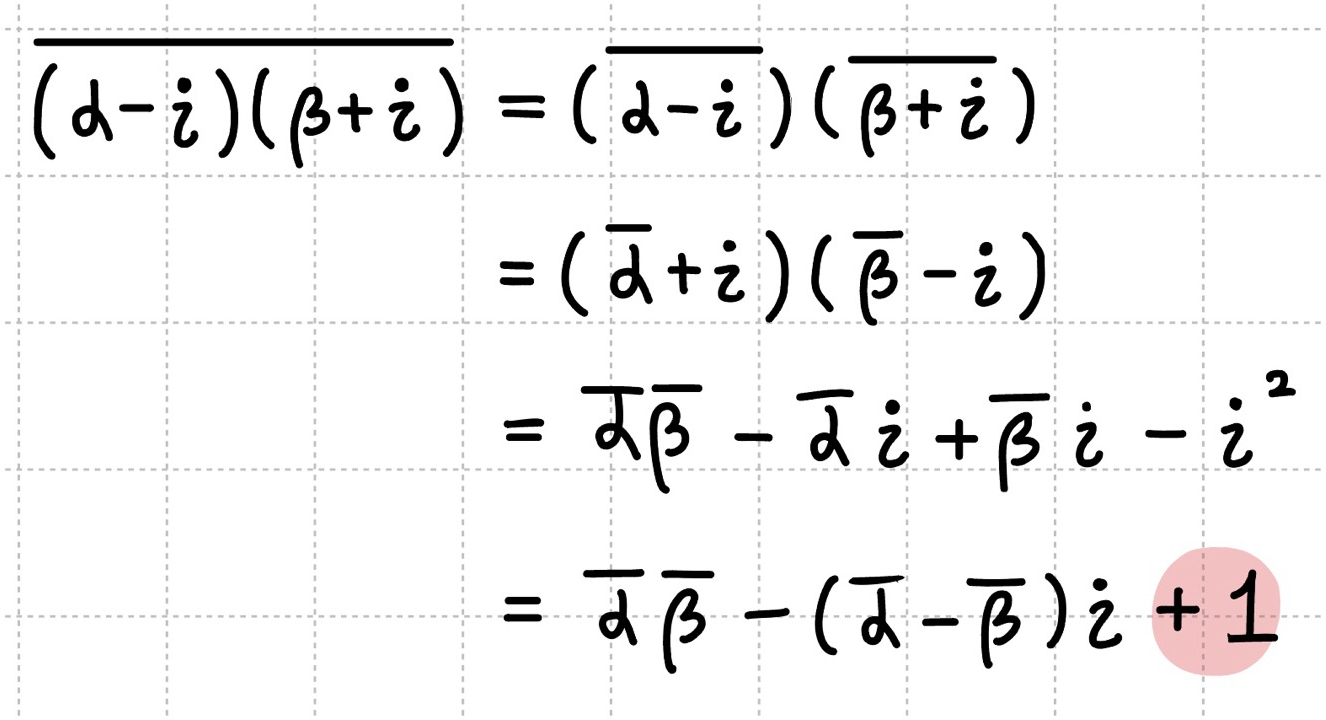
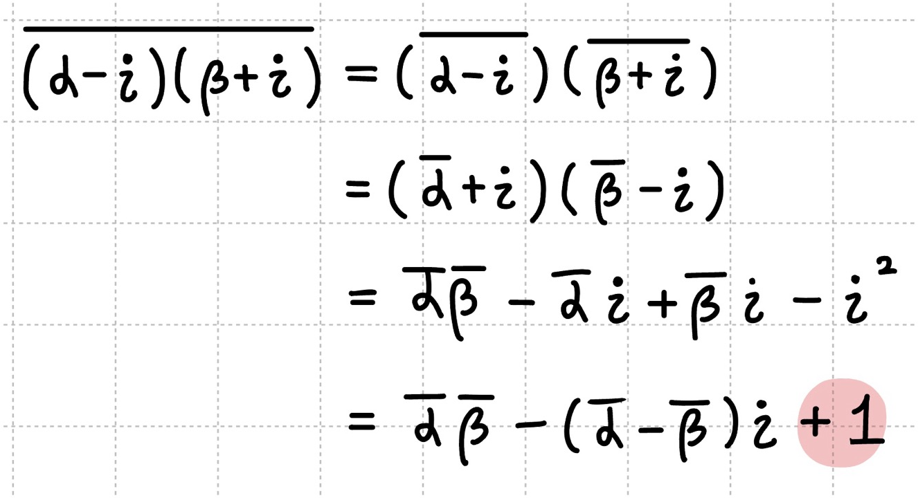
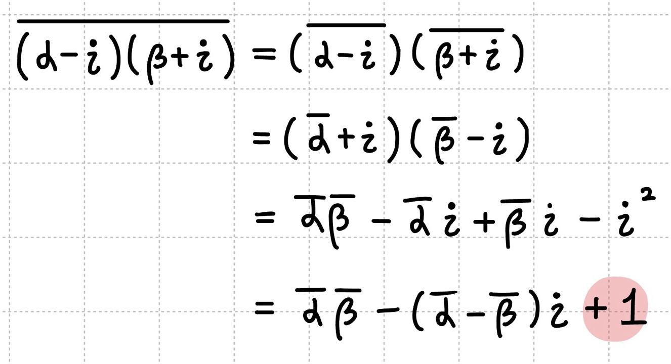
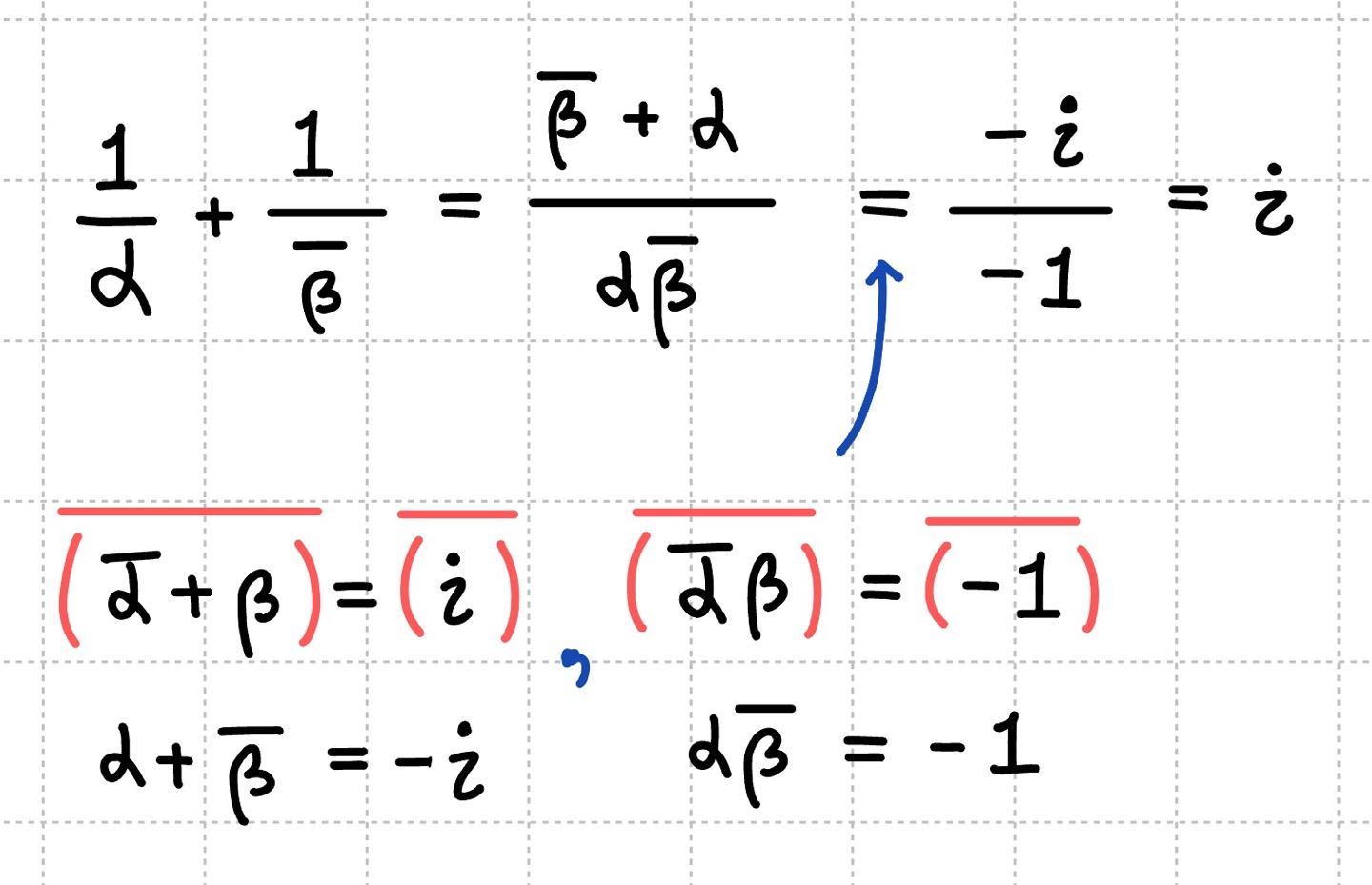
RPM 52p 359번
풀이1)
💡 곱 관계가 조건으로 나왔을 때 역수관계로 바꿔 풀어주는 경우가 많습니다. (참고 : 개념원리 94p 연습문제 182번)
$\overline{\alpha} \beta = -1$ → $\overline{\beta} = -\frac{1}{\alpha}$
이를 이용하여 첫번째 주어진 식에 대입해 주면,
$\overline{\alpha + \beta} = \overline{\alpha} - \frac{1}{\alpha} = i$
이후 구하고자 하는 것을 구해주면,

$\therefore $ 4번
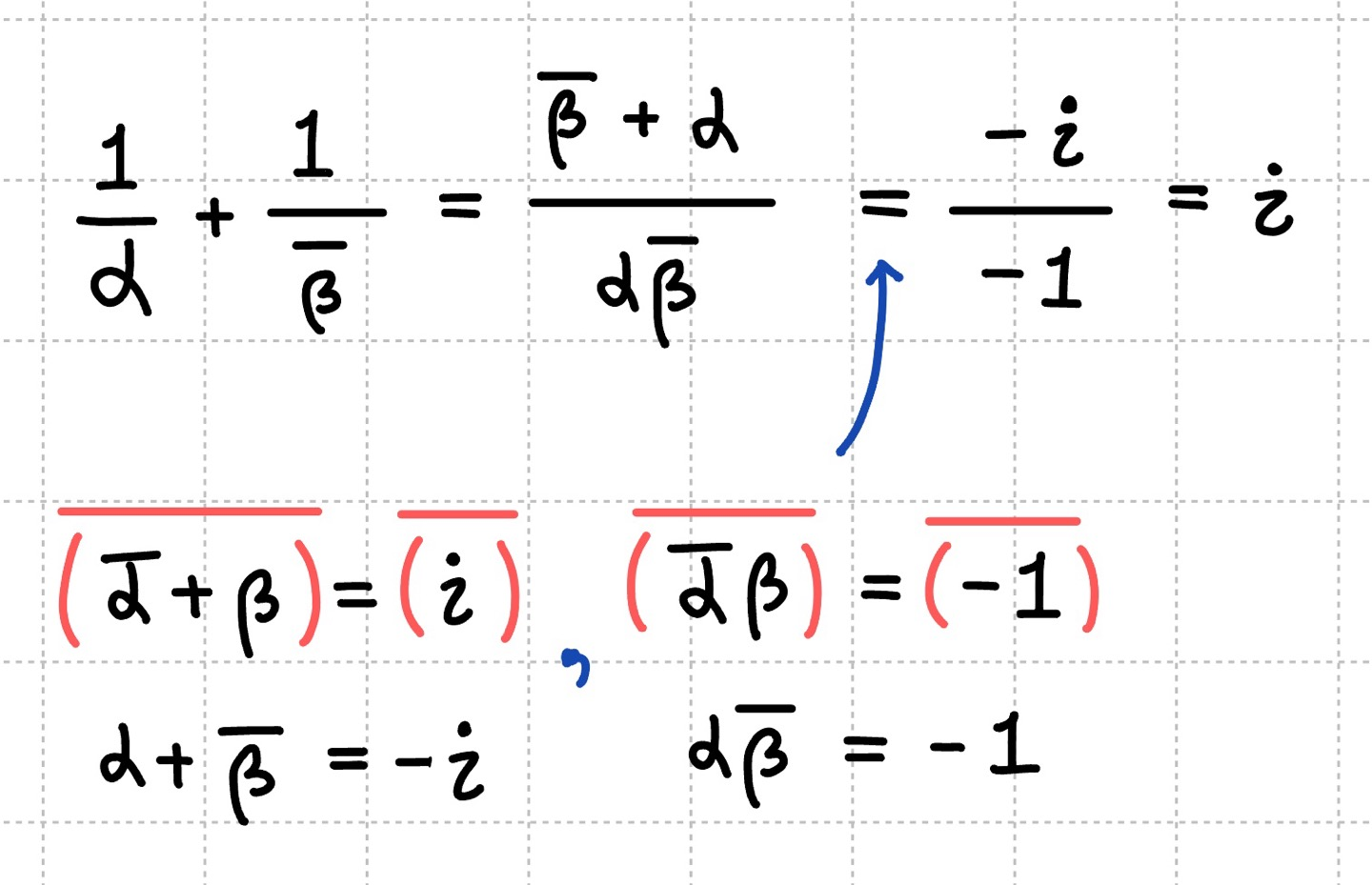
풀이2)
분수꼴 식이 주어지면 통분하여 값을 구해 주는 풀이도 많이 하죠.

늘 구하고자 하는게 무엇인지 생각하고 식을 등호를 이용해 꼴을 변형해가며 이어적을 수 있어야 합니다.
$\therefore $ 4번
RPM 52p 360번
곱 관계가 주어졌을 때, 역수 관계로 바꾸는 것! 자주 쓰이니 늘 인지해 두도록 합시다.

"추가로 필요한 자료/ 문제에 대한 다른 풀이 방법/ 글을 읽다 궁금한 점은 댓글로 남겨주세요!"
"이 블로그는 개념원리 교재를 참고하여 학습 내용을 정리하였으며, 저작권 보호를 위해 원문 문제는 제공하지 않고 제 풀이와 학습 팁을 중심으로 구성하여 독창적인 풀이와 함께 효율적인 학습 방법을 공유합니다."
'공통수학 1 개념' 카테고리의 다른 글
| 공통수학 1 - 2 - 10. 일차 방정식과 이차 방정식 (0) | 2025.03.06 |
|---|---|
| 공통수학 1 - 2 - 9. 복소수 - RPM 주요 문제 풀이 3 (0) | 2025.03.04 |
| 공통수학 1 - 2 - 7. 복소수 - RPM 주요 문제 풀이 1 (0) | 2025.02.28 |
| 공통수학 1 - 2 - 6. 방정식과 부등식 - 복소수 예제 문제. 연습 문제 풀이 6 (0) | 2025.02.26 |
| 공통수학 1 - 2 - 5. 방정식과 부등식 - 복소수 개념정리 (1) | 2025.02.24 |