2단원 - 1. 복소수
복소수 문제 풀이와 개념 정리
복소수의 개념을 배운 후, 이를 활용하여 다양한 문제를 풀어보는 과정이 중요합니다. 이번 글에서는 복소수의 실수화, 차수 낮추기, 켤레 복소수 활용법 등을 자세히 다루며, 여러 가지 풀이법을 소개합니다. 특히, 복소수 연산에서 실수부와 허수부를 정확하게 다루는 방법을 학습하고, 문제를 빠르고 효율적으로 해결하는 전략을 익힐 수 있습니다.
✔️ 복소수의 기본 연산과 활용법
✔️ 복소수 문제 풀이를 통한 개념 적용
✔️ 다양한 풀이법을 비교하며 최적의 접근법 찾기
이 글을 통해 복소수 연산을 깊이 이해하고, 문제 해결 능력을 향상시켜 보세요! 🚀
개념원리 공통수학 1 : 88p~ 91p
"모바일 접속 시 함수가 보이지 않을 수 있습니다. 태블릿이나 컴퓨터 또는 chrome(크롬)을 이용해 접속해 주세요."
지난 글에서 배웠던 복소수 개념을 이용해 마지막 남은 문제들을 설명하도록 해볼께요.
1-1. 예제
개념원리 88p 필수예제 06 (1)
주어진 식을 먼저 실수화 해줍니다.
$z = \frac{(1 + 3i)(1 + i)}{(1 - i)(1 + i)} = \frac{-2 + 4i}{2} = -1 + 2i$
$z^3$, $z^2$ 등을 계산하기 귀찮아 차수를 낮춰주는 풀이를 해볼 거예요.
이전에 1단원을 할때 했던 내용입니다. 개념원리 연습문제 35p 60번 내용과 비교하며 공부해 보도록 합시다.
'차수 낮춰주는 풀이'
- 우변에 루트 또는 허수 만 두고 나머지 이항
- 양변 제곱 후 '=0' 으로 정리
- 최고차항 표현 → 상쇄 + 남은 항 → 정리 반복
$z = -1 + 2i$
$z + 1 = 2i$
양변을 제곱하면
$z^2 + 2z + 1 = -4$
$z^2 + 2z + 5 = 0$
이항하여 우변에는 순허수만 있게 정리한 후 양변을 제곱하면 순허수는 $i^2 = -1$ 계산에 의해 실수가 되게 됩니다.
$z^2 + 2z + 5 = 0$의 $0$을 이용해 줄 것 입니다.
풀이 ① 차수 낮추기
$z^3$ $+ 2z^2 + 6z + 1$
$= $ $z(z^2 + 2z + 5) - 2z^2 - 5z$ $+ 2z^2 + 6z + 1$
- $z^3$을 $z^2 + 2z + 5$를 이용해 표현해 주면서 $z^3$ 이외에 추가된 항은 상쇄시켜 $(등호)$가 성립하도록 정리
- $z^3 = z(z^2 + 2z + 5) - 2z^2 - 5z$
- $z^2 + 2z + 5 = 0$ 이므로 $z(z^2 + 2z + 5)$ 항 사라짐
- 남은 항들 계산&정리
$= z + 1$
$= 2i$
∴$2i$
이렇게 최고차항 표현 → 상쇄 + 남은 항 → 정리 → 최고차항 표현 → 상쇄 + 남은 항 → 정리 과정을 반복하며 차수를 낮춰주는 풀이 입니다.
풀이 ② 주어진 조건을 활용
$z^3 + 2z^2 + 6z + 1$
$= z(z^2 + 2z + 5) + z + 1$ 로 정리가 가능하고 $z^2 + 2z + 5 = 0$ 이므로
$= z + 1$
$= 2i$
∴$2i$
풀이 ③ 직접 나누기 이용
$z^3 + 2z^2 + 6z + 1$ 을 $z^2 + 2z + 5$ 로 나누었을 때를 생각해 보면, 나눠지는 식 $z^3 + 2z^2 + 5z$ 와 곱해지는 몫은 $z^2 + 2z + 5$ 가 0이므로 사라지게 되고 나머지만 남게 됩니다.

∴$2i$
풀이 ②가 가장 간단해 보이죠?
굳이 풀이 ①과 ③을 설명한 이유는
혹시나 차수가 4차, 5차 등의 고차식이 주어진 경우 풀이 ①번처럼 최고차항부터 표현 → 상쇄 → 정리 → 차수를 낮춰가는 풀이, 또는 풀이 ③처럼 나머지를 구하는 풀이가 더 효율적일 수 있습니다.
한 문제를 여러 가지 풀이로 공부하면서 효율적으로 공부할 수 있도록 합시다.
개념원리 88p 필수예제 06 (2)
$x = 1 + 3i$, $y = 1 - 3i$ 켤레 관계가 등장했죠?
켤레 관계 등장시 합-차-곱 이용!
▷▶$x + y = 2$, $x - y = 6i$, $xy = 1 + 9 = 10$ 을 최대한 이용해 줍니다.
$x^3 - x^2 y - xy^2 + y^3$
$= x^2 (x - y) - y^2 (x - y)$
$= (x - y)(x^2 - y^2)$
$= (x - y)(x - y)(x+y)$
$= (x - y)^2 (x + y)$
$= (6i)^2 (2)$
$= -72$
∴$-72$
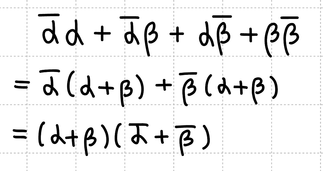
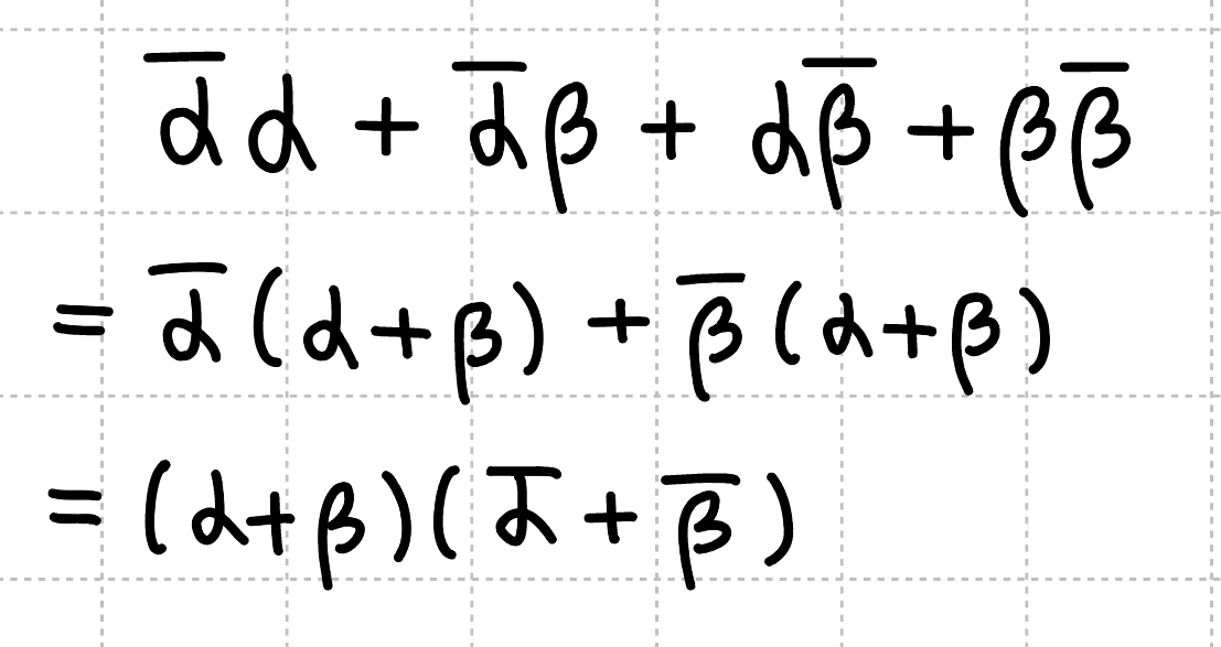
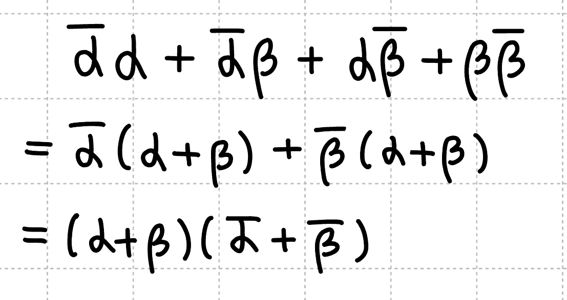
개념원리 89p 필수예제 07

- $Z_1 + Z_2 = \overline{Z_1} + \overline{Z_2}$
- 💡 bar를 따로 적용이 가능한 것처럼, 따로 있는 것을 합쳐줄 수도 있습니다.
- $\overline{\alpha} + \overline{\beta} = \overline{\alpha + \beta}$

- $\alpha + \beta = -2 - 2i$ 이므로
$\overline{\alpha + \beta} = -2 + 2i$

∴$8i$
개념원리 89p 필수예제 08
이차식은 $ax^2 + bx + c$ 로 미지수 두는 것처럼 복소수 $z$는 $a + bi$ 로 미지수 둡니다.
$\Rightarrow z = a + bi, \overline{z} = a - bi$ , ($a,b$는 실수)
$(1 + 2i)(a - bi) + 3i (a + bi) = -2 + 6i$
$(a + 2b) + (2a - b)i + 3a i^2 - 3b = -2 + 6i$
$(a - b) + (5a - b)i = -2 + 6i$
$a, b$는 실수이므로 등식이 성립하기 위해 $a - b = -2, \ 5a - b = 6$ 입니다.
둘을 연립해주면 $a = 2, b = 4$
$\therefore a = 2, b = 4$
개념원리 90p 예제
켤레 복소수 성질의 활용 파트 입니다.
90p를 보면 몇가지 식이 있고 전부 실수라는 내용이 나와있는데, 이것을 외워서 풀기보다는 어떤 조건이 나와도 $z = a + bi $라 두고 참/거짓을 판별하는 힘을 기르도록 연습하는 것이 중요합니다. 그래도 자주 나오는 형태는 문제를 풀면서 조금 정리하도록 하겠습니다.
ㄱ.
$z\overline{z} = (a + bi)(a - bi) = a^2 + b^2 $
$ a^2 + b^2 $은 실수
$ \therefore \text{(참)}$
$z\overline{z}$= 실수는 잘 나오는 조건입니다.
복소수 $z$의 형태가 복잡하더라도 켤레 복소수와 곱해주면 실수가 되니 꼭 기억하도록 합시다.
ㄴ.
$(z + \overline{z})(z - \overline{z}) = (2a)(2bi) = 4abi$
허수 꼴이므로 무조건 실수가 되는 것은 아닙니다.
- $a = 0$ 또는 $b = 0$ 이면 $0$ (실수)
- $a \neq 0, b \neq 0$ 이면 $4abi$ (순허수)
즉, $(z + \overline{z})(z - \overline{z})$은 0(실수)이거나 순허수 입니다.
순허수도 될 수 있으니 문제의 조건은 틀렸네요!
$ \therefore \text{(거짓)}$
$z + \overline{z} = 2a$(실수)는 잘 나오는 조건입니다.
ㄷ.
"$z - \overline{z} = (a + bi) - (a - bi) = 2bi = 0$ 이면" 이라는 뜻은 $b = 0$ 이라는 의미입니다.
즉, 주어진 조건을 정리해 보면 "$b = 0$이면 $z$는 순허수이다" 라고 되어 있는데,
$b = 0$ 이면 $z = a$ 이므로 실수입니다.
$ \therefore \text{(거짓)}$
ㄹ.
"$z = a + bi$ 가 허수이면" 이라는 뜻은 $b \neq 0$ 이라는 의미 입니다.
$z = a + bi, \quad -\overline{z} = -(a - bi) = -a + bi$ 이므로
$\Rightarrow b \neq 0$ 일 때
- $a = 0$ 이면 $z = -\overline{z}$ 가 성립
- $a \neq 0$ 이면 $z = -\overline{z}$ 가 성립하지 않음
$ \therefore \text{(거짓)}$
결론적으로 옳은 것은 ㄱ뿐 입니다.
개념원리 91p 특강 01
ㄱ.
$z - \overline{z} = (a + bi) - (a - bi) = 2bi$
- $b = 0$ 이면 $0$, 실수
- $b \neq 0$ 이면 $2bi$, 순허수
$\therefore$ 항상 실수라고는 할 수 없으므로 (거짓)
ㄴ.
$i(a - bi) = ai + b$
- $a = 0$ 이면 $b$, 실수
- $a \neq 0$ 이면 $ai + b$, 허수
$\therefore$ 항상 실수라고는 할 수 없으므로 (거짓)
ㄷ.
$(z + i)(\overline{z} - i)$
$= z\overline{z} - (\overline{z} - z)i + 1$
$= a^2 + b^2 - (2bi)i + 1$
$= a^2 + b^2 + 2b + 1$
$\therefore$ $a, b$의 값에 상관없이 항상 실수 (참)
ㄷ. 추가 설명
90p 예제 7에서 '$z \times \overline{z} = $ 실수'라고 했죠?
$z + i$를 새로운 복소수 $\alpha$로 봤을 때,
$\overline{\alpha} = \overline{z + i} = \overline{z} - i$ 이므로
$(z + i)(\overline{z} - i) = \alpha \overline{\alpha}$로 볼 수 있습니다.
$z \times \overline{z} = $ 실수 이므로 $\alpha \times \overline{\alpha} = $ 실수입니다.
$\therefore$ 항상 실수 (참)
이 ㄷ 풀이에서 생각해 볼 점은
- 어떤 형태의 복소수든 (복소수)X(켤레복소수) = (실수)라는 점
- 복잡한 형태의 복소수를 새로운 복소수로 두는 아이디어
두가지가 중요하다고 생각합니다.
특히 고난도 문제에서 복잡한 형태의 복소수를 새로운 복소수로 두고 풀어주면 풀이가 매우 간편해지는 경우가 많습니다.
이번 ㄷ 풀이처럼요!
문제를 그냥 풀기고 답만 채점하기 보다는 문제를 풀고 중요한 생각 아이디어를 하나씩 정리해 나가는 것이 좋아요.
ㄹ.
$\frac{z}{1 + i} + \frac{\overline{z}}{1 - i} = \frac{(a + bi)(1 - i)}{(1 + i)(1 - i)} + \frac{(a - bi)(1 + i)}{(1 - i)(1 + i)}$
$= \frac{a - ai + b + bi}{2} + \frac{a + ai - b + bi}{2}$
$= \frac{2a + 2b}{2} = a + b \Rightarrow$ 항상 실수
$\therefore$ $a, b$의 값에 상관없이 항상 실수 (참)
이렇게 계산을 이용해 생각해 볼 수 있지만"$z + \overline{z} = $ 실수"라는 개념을 이용해 추가 설명을 해보도록 할께요.
ㄹ. 추가 설명
- $\overline{\left( \frac{z}{1 + i} \right)} = \frac{\overline{z}}{1 + i} = \frac{\overline{z}}{1 - i}$
두 복소수가 서로 켤레관계입니다.
켤레관계의 두 복소수의 합을 묻고 있으므로 실수라는 것을 바로 알 수 있습니다.
- $ \alpha = \frac{z}{1 + i}$ 라 하면,
- $\overline{\alpha} = \frac{\overline{z}}{1 - i} $
- $\frac{z}{1 + i} + \frac{\overline{z}}{1 - i} = \alpha + \overline{\alpha} = \text{실수}$
개념원리 91p 확인체크 166
ㄱ.
$z^2 - z$ 가 실수이므로, 실수를 켤례시켜도 그대로 실수입니다. 바뀌는 부호가 없으니 둘의 값도 같겠죠!
$z^2 - \overline{z} = \overline{z^2} - z = \text{실수}$
$\therefore$ 참
ㄴ.
$z + \overline{z} = 2a$ 인데 구체적인 값을 제시하였으니 귀찮되더라도 $z^2 - z$ 가 실수이기 위한 조건을 생각해 봅시다.
$z^2 - z $
$= (a + bi)^2 - (a + bi) $
$= a^2 + 2abi - b^2 - a - bi$
$= (a^2 - b^2 - a) + (2ab - b)i$
실수이기 위해 허수부분은 0이여야 합니다.
$2ab - b = 0$
$b(2a - 1) = 0 $
$b=0$ 또는 $a= \frac{1}{2}$
$a,b$가 0이아닌 실수라 하였으므로 $a= \frac{1}{2}$
그렇다면, $z + \overline{z} = 2a = 1$
$\therefore$ 참
ㄷ.
$z\overline{z} = (a + bi)(a - bi) = a^2 + b^2 = \frac{1}{4} + b^2 $
$b^2$은 0이 아닌 '실수' 이므로 항상 0보다 크거나 같습니다.
$b^2$>0
$ \frac{1}{4} + b^2 $ > $ \frac{1}{4}$
$\therefore$ 참
"추가로 필요한 자료/ 문제에 대한 다른 풀이 방법/ 글을 읽다 궁금한 점은 댓글로 남겨주세요!"
"이 블로그는 개념원리 교재를 참고하여 학습 내용을 정리하였으며, 저작권 보호를 위해 원문 문제는 제공하지 않고 제 풀이와 학습 팁을 중심으로 구성하여 독창적인 풀이와 함께 효율적인 학습 방법을 공유합니다."
'공통수학 1 개념' 카테고리의 다른 글
| 공통수학 1 - 2 - 5. 방정식과 부등식 - 복소수 개념정리 (1) | 2025.02.24 |
|---|---|
| 공통수학 1 - 2 - 4. 방정식과 부등식 - 복소수 연습문제 풀이 (0) | 2025.02.22 |
| 공통수학 1 - 2 - 2. 방정식과 부등식 - 복소수 개념정리 2 (0) | 2025.02.18 |
| 공통수학 1 - 2 - 1. 방정식과 부등식 - 복소수 개념정리 1 (0) | 2025.02.16 |
| 공통수학 1 - 1 - 23. 인수분해 RPM 주요 문제 풀이 2 (0) | 2025.02.14 |