1단원 - 2. 항등식과 나머지 정리 - 항등식과 방정식
지난 글에 이어 이번 글에서는 항등식의 성질을 기반으로 조립제법, 계수비교법, 수치대입법을 활용해 다항식 나눗셈 문제를 효과적으로 푸는 방법을 소개합니다. 다항식 나눗셈은 수능과 내신 대비에서 반드시 알아야 할 핵심 개념이며, 반복 학습을 통해 실전에서도 빠르고 정확한 풀이가 가능합니다. 이번 내용을 통해 문제 해결 능력을 한 단계 끌어올려 보세요.
개념원리 공통수학 1 : 43p ~ 44p
"모바일 접속 시 함수가 보이지 않을 수 있습니다. 태블릿이나 컴퓨터 또는 chrome(크롬)을 이용해 접속해 주세요."
1. 문제 풀이에 이용할 주요 개념
다항식의 나눗셈에 대한 등식 (검산식)
"(주어진 식) = (나누는 식) $ \cdot $ (몫) + (나머지) " 로 정리 가능
이렇게 배웠었죠?
다항식의 나눗셈에 대한 등식도 우변을 전개하면 좌변과 우변의 식이 같기 때문에 항등식이라고 할 수 있습니다.
항등식이기 때문에 당연히 미정계수법인 수치대입법과 계수비교법을 모두 사용할 수 있겠죠.
이제 다항식의 나눗셈에 대한 등식을 항등식 관점에서 보고 문제를 풀어보도록 하겠습니다.
2. 예제 문제
설명할 문제 : 개념원리 43p 필수예제 03, 개념원리 44p 발전예제 04
개념원리 43p 필수예제 03 (1)
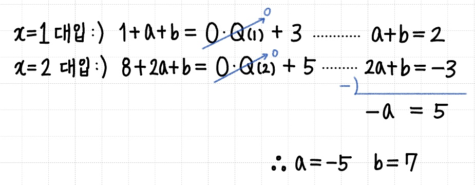
$x^3 + ax + b = (x^2 - 3x + 2)Q(x) + 2x + 1$
문제를 읽으며 바로 식을 써줘야 합니다. 몫은 주어져 있지 않기 때문에 $Q(x)$로 두고 식을 써줍니다.

- 식을 분석해보면, $Q(x)$는 구체적인 식이 주어지지 않았으므로 모르는 식입니다.
- 이 모르는 식을 제거 하는 쪽으로 풀이를 할 수 있고,
- 좌변이 삼차식이므로 우변도 삼차식이여야 하기 때문에 나누는식 2차에 몫 1차를 곱해줘야 삼차식이 된다는 단서를 뽑아 풀이를 할 수도 있습니다.
- ( 물론 직접 나누기 방법을 이용 할 수도 있습니다.)

- $x^2 - 3x + 2 = (x-1)(x-2)$로 인수분해가 가능
- $x=1$과 $x=2$ 대입시 0이 되어 모르는 식인 $Q(x)$를 제거 가능
- 그래서 방법 1을 사용하여 풀이해 줍니다.
- ( 당연히 방법 2, 직접나누기 방법도 가능하지만, 문제를 분석하여 가장 효율 적인 풀이를 할 수 있어야 합니다.)
$x^3 + ax + b = (x^2 - 3x + 2)Q(x) + 2x + 1$
$x^3 + ax + b = (x-1)(x-2)Q(x) + 2x + 1$

개념원리 43p 필수예제 03 (2)
$x^3 + ax^2 + bx + 2 = (x^2 + x + 1)Q(x)$
나누어 떨어지면 나머지는 $0$입니다. 몫은 주어져 있지 않기 때문에 $Q(x)$로 두고 식을 써줍니다.
방법 1을 쓰려고 하니까 $x^2 + x + 1 = 0$ 되는 $x$값을 넣어줘야 하는데, 인수분해가 안 돼서 $x$값을 구할 수 없습니다. $\Rightarrow$ 방법 2 사용

좌변이 삼차식이므로 우변의 $Q(x)$는 일차식이 됩니다.
이 방법이 조금 헷갈리거나 힘들다면 처음에는 $px+q$로 두고 비교해주셔도 되지만 가능하시다면 눈으로 최고차, 상수항을 보고 바로 $x+2$를 적을 수 있도록 합시다.

이후, 우변의 식을 전개하여 $x^3 + 3x^2 + 3x + 2$를 적고, 계수 비교를 해주셔도 되고,
전개한 식을 직접 적지 않더라도 구하고자 하는 $x^2$과 $x$의 계수를 만드는 것만 계산해도 됩니다.

개념원리 43p 필수예제 03 - 직접 나누기 방법 사용
모든 풀이 과정에는 배울점이 있다고 생각합니다.
개념원리 풀이에 (2)에 대한 직접 나누기는 풀이되어있기 때문에 (1)에 대해 설명하도록 할께요.

이렇게 답을 구해주고 나면 끝입니다. 답은 나왔지만 문제를 보는 눈을 더 기르기 위해 조금만 분석을 해볼까요 ?
심화 문제집에 이 아이디어를 이용해서 푸는 문제가 있어 언급해 봅니다.
- 직접나누기 방법을 사용하니까 아예 $Q(x)$ 식이 구해짐
- $x^3 + ax + b$ 식의 삼차계수와 이차계수가 주어져 있음
- 또한 나누는 식의 $x^2 - 3x + 2$도 이차계수와 일차계수가 주어져있음
- 이 계수들이 몫을 정하는데 관여하는 계수들임
- 즉, 이러한 계수를 줬다는 것이 $Q(x)$를 직접 준 것이나 다름 없는 것이죠.
위의 설명이 잘 이해가 안된다면, 아래의 그림을 보고 아! 계수비교로도 $Q(x)$ 바로 식세울 수 있네 ! 하셔도 좋습니다. ^^

$x^3 + ax + b = (x^2 - 3x + 2)Q(x) + 2x + 1$ 식까지만 쓰고 어떻게 풀지 고민할때,
- 주어진 식이 3차이고 2차항까지 계수가 나왔네?
- 나누는식도 2차,1차항까지는 주어져있네?
- $\Rightarrow$ '직접나누기를 하면 $Q(x)$의 식을 구할 수 있겠네'
이 생각도 하실 수 있다면 아주 좋습니다.
$x^3 + ax^2 + bx + 2 = (x^2 + x + 1)Q(x)$ 의 경우에는 $ax^2$인 이차항의 계수가 미지수니 직접나누기에서는 몫이 정확하게 나오지는 않겠죠 ?
이정도까지만 하고 다음번에 심화문제집 포스팅을 할 때 이 내용을 언급하면서 한번 더 다뤄보도록 하겠습니다. 반복해서 여러가지 풀이법을 공부하도록 합시다.
개념원리 43p 필수예제 04 - 조립제법과 내림차순 꼴의 항등식
문제의 주어진 식을 보면 우변의 $(x-1)$이 2차, 1차로 반복되며 내림차순 정리되어 있습니다.
조립제법을 연달아 쓰는 유형인데, 단순히 '이런건 이렇게 푸네' 외우기 보다는 원리를 이해하고 반복하여 응용문제가 나와도 풀 수 있는 실력을 기르도록 합시다.
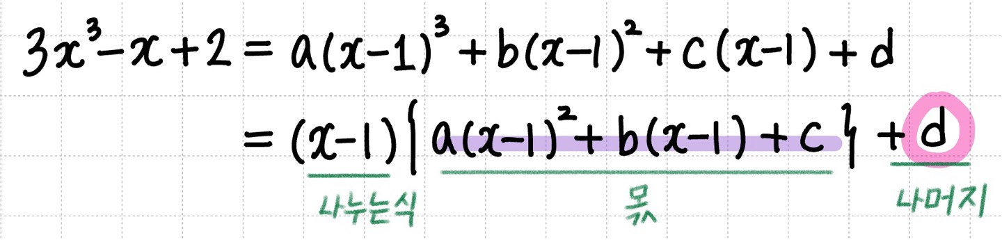
주어진 식의 우변을 $(x-1)$로 묶어줍니다.

그러면 나눗셈 식 및 나머지 관계로 식을 해석할 수 있습니다.
일차식으로 나눈 몫, 나머지를 구하는 방법인 조립제법을 이용해 몫과 나머지를 구해줍니다.
$(x-1)$로 나눠주기 때문에 맨왼쪽 수는 1입니다.

몫: $a(x-1)^2 + b(x-1) + c = 3x^2 + 3x + 2$, 나머지: $d = 4$
몫의 결론으로 $3x^2 + 3x + 2 = a(x-1)^2 + b(x-1) + c$가 나왔는데, 이를 $(x-1)$로 한 번 더 묶어줍니다.

그러면 $3x^2 + 3x + 2$를 $(x-1)$로 나눴을 때 몫과 나머지를 구하는 것이므로 한 번 더 조립제법 해줍니다.
나온 몫을 $(x-1)$로 한번 더 나눠 주는 거라 이전 조립제법 결과에 이어서 해줄 수 있습니다.

몫: $a(x-1) + b = 3x + 6$, 나머지: $c = 8$
몫의 결론으로 $3x + 6 = a(x-1) + b$이 나왔는데, $3x + 6 = (x-1)a + b$로 정리하여 $3x + 6$을 $(x-1)$로 나눴을 때 몫과 나머지를 구하는 것이므로 한번 더 조립제법이 가능합니다.

몫: $a=3$, 나머지: $b=9$
이렇게 $a, b, c, d$ 값을 모두 구할 수 있습니다. $a=3$, $b=9$, $c = 8$, $d = 4$
역으로 조립제법의 결과만 보고 해석하는 과정도 해보도록 하겠습니다.
맨 왼쪽의 수가 1이기 때문에 $(x-1)$로 나누었을 때를 반복하는 것입니다. 조립제법 해석시 주의해야 할 점은 나누는 식의 $x$ 계수를 1로 해석해야합니다.

식을 차근차근 하나씩 써가며 해석 할 수 있어야 합니다.
조립제법의 결론으로 식을 구하는 과정을 해보았으니 자주 반복해 써보시고 이게 익숙해 졌다면 다음번에 문제에 나왔을 때는 아래의 결론으로 바로 식을 구해낼 수 있어야 합니다.

위의 풀이를 참고하여 아래의 문제를 연습해 보세요. 자주 등장하는 유형이니 반복 학습을 권장 합니다.
문제
$2x^3 - 3x^2 - 4x + 2 = a(2x+1)^3 + b(2x+1)^2 + c(2x+1) + d$
$a + b + c + d$의 값은?
$\therefore \text{답 } =$ $\frac{11}{4}$
개념원리 43p 필수예제 04 - 다른풀이
방법 1 ) 문제에서 주어진 식의 우변을 다 전개하여 계수비교법을 이용 하는 방법
방법 2 ) 값들을 넣어가며 수치대입법을 이용하는 방법
방법 3) $x - 1 = X$로 치환하여 계수비교법을 이용하는 방법
방법1의 경우 우변에 미지수도 많고 정리가 힘들기 때문에 비추천하는 방법입니다.
방법2의 경우도 a,b,c,d 미지수가 4개라 식도 4개를 구해 연립까지 해줘야 하므로 귀찮은 방법입니다.
제 생각에는 그나마 괜찮은 풀이는 제가 처음 설명했던 조립제법을 연달아 하는 메인 풀이와 방법3 정도의 풀이가 좋은 것 같아 아래에서 방법3의 풀이를 간단하게 언급하고 넘어가도록 하겠습니다.
방법3 풀이)
$x - 1 = X$이므로 $x = X + 1$
$3(X+1)^3 - (X+1) + 2 = aX^3 + bX^2 + cX + d$
좌변을 전개하여 정리하면
$3X^3 + 9X^2 + 8X + 4 = aX^3 + bX^2 + cX + d$
$\therefore a = 3, b = 9, c = 8, d = 4$
3. 추가자료
개념 정리 자료 (한글파일 / pdf)
이 파일로 수업내용을 한번 간단하게 핵심 요약 정리를 해보시고 백지테스트를 해보도록 합시다.
"추가로 필요한 자료/ 문제에 대한 다른 풀이방법/ 글을 읽다 궁금한 점은 댓글로 남겨주세요!"
"이 블로그는 개념원리 교재를 참고하여 학습 내용을 정리하였으며, 저작권 보호를 위해 원문 문제는 제공하지 않고 제 풀이와 학습 팁을 중심으로 구성하여 독창적인 풀이와 함께 효율적인 학습 방법을 공유합니다."
'공통수학 1 개념' 카테고리의 다른 글
| 공통수학 1 - 1 - 11. 항등식과 나머지 정리 - 나머지 정리와 인수정리 (2) | 2025.01.20 |
|---|---|
| 공통수학 1 - 1 - 10. 항등식과 나머지 정리 - 확인체크, 연습문제 풀이 (0) | 2025.01.19 |
| 공통수학 1 - 1 - 8. 항등식과 나머지 정리 - 항등식과 방정식 : 개념과 문제풀이법 (1) | 2025.01.15 |
| 공통수학 1 - 1 - 7. 다항식의 연산 RPM 주요 문제 풀이 (4) | 2025.01.13 |
| 공통수학 1 -1 - 6. 다항식의 연산 확인체크 - 연습문제 풀이 (2) | 2025.01.11 |