1단원-3. 인수분해
인수분해 공식은 수학에서 다항식을 단항식의 곱으로 표현하는 데 필수적인 도구입니다. 이 글에서는 개념원리 교재를 기반으로 다양한 인수분해 공식을 체계적으로 정리하고, 이를 활용한 문제 풀이 과정을 단계별로 설명합니다. 특히, 공통인수 묶기, 완전제곱식, 차수 낮은 문자 기준 내림차순 정리 등 실제 풀이에서 자주 사용되는 인수분해 방법과 팁을 소개합니다. 수학 초보자부터 개념을 복습하고자 하는 학생까지 누구나 쉽게 이해할 수 있도록 구성했습니다.
개념원리 공통수학 1 : 60p ~ 64p
"모바일 접속 시 함수가 보이지 않을 수 있습니다. 태블릿이나 컴퓨터 또는 chrome(크롬)을 이용해 접속해 주세요."
1-1. 인수분해

- 항이 여러개인 다항식을 항이 1개인 단항식으로 만들어 주는 과정을 보고 인수분해라고 합니다.
- 항이 1개인 단항식을 항이 여러개인 다항식으로 만들어 주는 과정을 보고 전개라고 합니다.
$(x+2)$와 $(x+3)$은 괄호로 묶여 있으니 하나의 항으로 봐줘야 하는데, 곱꼴로 연결되어 있으니 $(x+2)(x+3)$ 를 하나의 항으로 봐줘야 합니다.
이렇게 인수분해란, 하나의 다항식을 인수들의 곱의 꼴로 표현하는 것을 의미합니다.(인수에 대한 내용은 지난 글을 참고해 주세요. )
1-2. 인수분해 공식
(1) $ma + mb = m(a + b)$
(2) $a^2 + 2ab + b^2 = (a + b)^2, \quad a^2 - 2ab + b^2 = (a - b)^2$
(3) $a^2 - b^2 = (a + b)(a - b)$
(4) $x^2 + (a + b)x + ab = (x + a)(x + b)$
(5) $acx^2 + (ad + bc)x + bd = (ax + b)(cx + d)$
------(여기까지 중학교때 배운내용)--------------
(6) $a^2 + b^2 + c^2 + 2ab + 2bc + 2ca = (a + b + c)^2$
(7) $a^3 + 3a^2b + 3ab^2 + b^3 = (a + b)^3$ , $a^3 - 3a^2b + 3ab^2 - b^3 = (a - b)^3$
(8) $a^3 + b^3 = (a + b)(a^2 - ab + b^2)$ , $a^3 - b^3 = (a - b)(a^2 + ab + b^2)$
(9) $a^3 + b^3 + c^3 - 3abc = (a + b + c)(a^2 + b^2 + c^2 - ab - bc - ca)$
(10) $a^4 + a^2b^2 + b^4 = (a^2 + ab + b^2)(a^2 - ab + b^2)$
곱셈공식의 반대 과정이기 때문에 따로 증명 과정은 필요하지 않습니다.
왜 결론이 이거인가요? 라고 묻는다면, 직접 전개해보면 공식이 성립함을 확인할 수 있습니다.
이는 계산의 효율성을 높이기 위해 자주 쓰이는 과정을 공식화 한 것일 뿐입니다.
(6)~(10)번 공식을 사용하는 몇가지 예제를 풀어보도록 하겠습니다.
- 개념원리 62p 118-(2)
(6) $a^2 + b^2 + c^2 + 2ab + 2bc + 2ca = (a + b + c)^2$ 을 사용하는 문제입니다.

- 개념원리 62p 118-(4)
(7) $a^3 + 3a^2b + 3ab^2 + b^3 = (a + b)^3$ , $a^3 - 3a^2b + 3ab^2 - b^3 = (a - b)^3$ 공식을 사용하는 문제입니다.
$8x^3 - 12x^2y + 6xy^2 - y^3$
$a^3 + 3a^2b + 3ab^2 + b^3 = (a + b)^3$ 공식 이용
$(2x)^3 + 3(2x)^2(-y) + 3(2x)(-y)^2 + (-y)^3$
$= (2x - y)^3$
- 개념원리 62p 118-(6)
(8) $a^3 + b^3 = (a + b)(a^2 - ab + b^2)$ , $a^3 - b^3 = (a - b)(a^2 + ab + b^2)$ 공식을 사용하는 문제입니다.
$8x^3 - 12x^2y + 6xy^2 - y^3$
$a^3 + 3a^2b + 3ab^2 + b^3 = (a + b)^3$ 공식 이용
$(2x)^3 + 3(2x)^2(-y) + 3(2x)(-y)^2 + (-y)^3$
$= (2x - y)^3$
- 개념원리 62p 118-(4)
(9) $a^3 + b^3 + c^3 - 3abc = (a + b + c)(a^2 + b^2 + c^2 - ab - bc - ca)$ 공식을 사용하는 문제입니다.
$8a^3 + b^3 - c^3 + 6abc$
$a^3 + b^3 + c^3 - 3abc = (a + b + c)(a^2 + b^2 + c^2 - ab - bc - ca$
$= (2a)^3 + (b)^3 + (-c)^3 + 3(2a)(b)(-c)$
$= (2a + b - c)(4a^2 + b^2 + c^2 + 2ab - bc - 2ac)$
- 개념원리 62p 118-(4)
(10) $a^4 + a^2b^2 + b^4 = (a^2 + ab + b^2)(a^2 - ab + b^2)$ 공식을 사용하는 문제입니다.
$a^4 + a^2 + 1$
$a^4 + a^2b^2 + b^4 = (a^2 + ab + b^2)(a^2 - ab + b^2)$ 공식 이용
$= a^4 + a^2 \cdot 1^2 + 1^4 = (a^2 + a + 1)(a^2 - a + 1)$
1-3. 인수분해 과정에서 생각의 흐름
이제 본격적으로 필수예제를 풀어보면서 공부해보도록 할께요. 식을 인수분해 해야하는 상황이 왔을 때 생각하는 순서는 아래와 같습니다.
인수분해 생각 흐름
1. 공통인수 묶어주기
2. 'X' 사용가능? / 인수분해 공식 사용가능 ?
3. 꼴 확인(유형 확인)
- 공통부분 → x 치환
- $x^2$의 거듭제곱으로 이루어진 복이차식
→ 인수분해 가능 ? (바로 인수분해) / 불가능? ( 최고차, 상수항 고정 후 $A^2-B^2$꼴 이용)
- 문자 여러개, 항 여러개 → 차수낮은 문자기준 내림차순 정리 → 공통인수 묶기 or 'x'자 인수분해
....
위와 같은 흐름으로 하나씩 확인해 주시면 되고 이는 개념원리에서 언급하는 인수분해 문제의 전체적인 흐름이기도 합니다. 다른 여러가지 문제집을 풀면서, 어려운 인수분해가 나왔을 때에는 하나씩 추가로 정리해 가며 나만의 인수분해 생각흐름 과정을 만드시는 것을 추천 합니다.
추가로, 인수분해가 어렵다하는 학생이시라면 아래와 같은 생각도 해보시는 것도 좋습니다.
- 항이 2개인 경우 자주 사용되는 공식
(3) $a^2 - b^2 = (a + b)(a - b)$
(8) $a^3 + b^3 = (a + b)(a^2 - ab + b^2)$ , $a^3 - b^3 = (a - b)(a^2 + ab + b^2)$
- 항이 3개인 경우 자주 사용되는 공식 → 'X'자 이용
(2) $a^2 + 2ab + b^2 = (a + b)^2, \quad a^2 - 2ab + b^2 = (a - b)^2$
(4) $x^2 + (a + b)x + ab = (x + a)(x + b)$
(5) $acx^2 + (ad + bc)x + bd = (ax + b)(cx + d)$
이렇게 정리가 가능하긴 하지만, 항이 2개니까 이 공식 이용! 3개니까 이 공식 이용! 이렇게 보다는 인수분해 공식을 많이 연습해서 식의 꼴을 보고 바로 인수분해 공식이 떠오를 수 있게 연습하시면 좋을 것 같아요.
하지만, 처음부터 그렇게 하기 힘들다면, 항이 2개인경우 3개인 경우를 생각해주셔도 괜찮습니다.

중학교때, 위의 인수분해 하는 과정은 배웠었죠?

항이 3개인 경우에는 이렇게 'X'자를 이용해 인수분해 해줄 수도 있다는 거 꼭 기억하시길 바랍니다!
1-4. 예제문제
예제문제를 풀면서 공식 기본형을 꼭 한번씩 써보면서 연습해 보시길 바랍니다.
개념원리 63p 필수예제 01
(1)번 - $a^2 - b^2$꼴

(2)번 - $2a$ 공통인수 있음 →먼저 묶어주기 / $a^3 + b^3$ 꼴

(3)번 - $a^3 - b^3$ 꼴

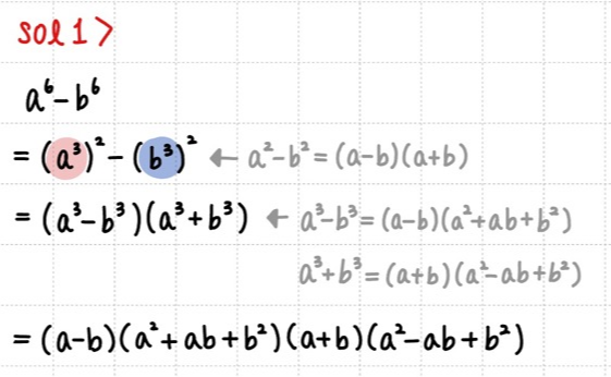
(5)번 - 첫 식을 어떻게 정리하냐에 따라 사용하는 공식의 차이가 있습니다.


- $a^6-b^6$을 $(a^3)^2-(b^3)^2$으로 정리 한다면
- 풀이 1번 처럼 (3) $a^2 - b^2 = (a + b)(a - b)$ 사용 후
- (8) $a^3 + b^3 = (a + b)(a^2 - ab + b^2)$ , $a^3 - b^3 = (a - b)(a^2 + ab + b^2)$ 을 사용해 줍니다.
- $a^6-b^6$을 $(a^2)^3-(b^2)^3$으로 정리 한다면
- 풀이 2번처럼 (8) $a^3 - b^3 = (a - b)(a^2 + ab + b^2)$ 사용 후
- (3) $a^2 - b^2 = (a + b)(a - b)$ 공식과 (10) $a^4 + a^2b^2 + b^4 = (a^2 + ab + b^2)(a^2 - ab + b^2)$ 공식을 사용해 줍니다.
두가지 풀이 중 어떤 것으로 풀어도 괜찮습니다.
(6)번 - 'X'자 이용

개념원리 63p 필수예제 02
(1)
$x^4 + x^2z^2 - y^2z^2 - y^4$
- 인수분해 생각흐름으로 생각해 보면,
- 공통인수가 보이지 않고, 바로 보이는 인수분해 공식이 없습니다.
- 꼴을 확인 해 줄 것인데
문자도 여러개, 항도 여러개이므로 차수낮은 문자 기준 내림차순 정리를 먼저 해줄 것입니다.
$x$는 최고차가 4차, $y$도 최고차가 4차, $z$는 최고차가 2차 입니다.
차수낮은 $z$기준 내림차순정리를 해줍니다.
$= (x^2 - y^2)z^2 +$ $(x^4 - y^4)$
$= (x^2 - y^2)z^2 +$ $(x^2 - y^2)(x^2 + y^2)$
- 공통인수 $(x^2 - y^2)$가 보이므로 묶어줍니다.
$= (x^2 - y^2)\left( z^2 + x^2 + y^2 \right)$
$= (x-y)(x+y)(x^2 + y^2 + z^2)$
흐름 정리 : 차수낮은 문자 기준 내림차순 정리 → 공통인수 묶기
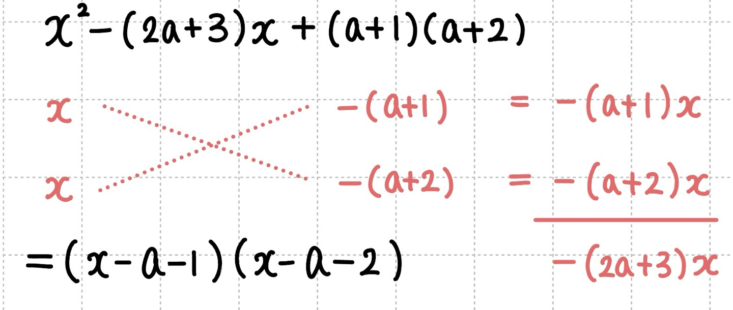
(2)
$a^2 - 4ab + b^2 - c^2$
- 문자도 여러개, 항도 여러개이므로 차수낮은 문자 기준 내림차순 정리를 먼저 해줄 것입니다.
$a,b,c$ 모두 최고차가 2차로 같습니다. 이런경우 어떤것으로 내림차순 해줘도 괜찮습니다.
$a$기준 내림차순정리를 해주도록 해보겠습니다.

흐름 정리 : 차수낮은 문자 기준 내림차순 정리 → 'X'자 인수분해
다른풀이 )
$a^2 - 4ab + b^2$ $- c^2$
- 완전제곱식으로 인수분해되는 항이 있습니다.
$=$ $(a - 2b)^2$ $- c^2$
- 이후, (3) $a^2 - b^2 = (a + b)(a - b)$ 공식을 이용해 줍니다.
$= (a - 2b - c)(a - 2b + c)$
항이 4개인 경우 이런식의 풀이도 가능하니 완전제곱식꼴과 $a^2-b^2$꼴이 바로 보인다면 이 방법으로도 인수분해 할 수 있다는점 꼭 기억해줍시다!
흐름정리 : 완전제곱식으로 정리 → $A^2-B^2$ 꼴 이용
(3)
$2xy + z^2 - x^2 - y^2$
$= z^2 -$ $(x^2 - 2xy + y^2)$
- 완전제곱식이 보이므로 이 3개의 항만 먼저 인수분해 해줍니다.
$= z^2 -$ $(x - y)^2$
- 이후, (3) $a^2 - b^2 = (a + b)(a - b)$ 공식을 이용해 줍니다.
$= (z - x + y)(z + x - y)$
흐름정리 : 완전제곱식으로 정리 → $A^2-B^2$ 꼴 이용
다른풀이)
$2xy + z^2 - x^2 - y^2$
문자도 여러개, 항도 여러개이므로 차수낮은 문자 기준 내림차순 정리를 먼저 해줄 것입니다.
$x,y,z$ 모두 최고차가 2차로 같습니다. 이런경우 어떤것으로 내림차순 해줘도 괜찮습니다.
$x$에 대해 내림차순 정리해보도록 하겠습니다.

이후 'x'자 인수분해를 이용해 풀이해 줍니다.
흐름정리 : 차수낮은 문자기준 내림차순 정리 → 'X'자 인수분해
1-4. 추가자료
개념 정리 자료 (한글파일/pdf)
이 파일로 수업 내용을 한번 간단하게 핵심 요약 정리를 해보시고 백지 테스트를 해보도록 합시다.
"추가로 필요한 자료/ 문제에 대한 다른 풀이 방법/ 글을 읽다 궁금한 점은 댓글로 남겨주세요!"
"이 블로그는 개념원리 교재를 참고하여 학습 내용을 정리하였으며, 저작권 보호를 위해 원문 문제는 제공하지 않고 제 풀이와 학습 팁을 중심으로 구성하여 독창적인 풀이와 함께 효율적인 학습 방법을 공유합니다."
'공통수학 1 개념' 카테고리의 다른 글
| 공통수학 1 - 1 - 18. 인수분해 - 인수분해 활용 (1) | 2025.02.04 |
|---|---|
| 공통수학 1 - 1 - 17. 인수분해 - 복잡한 식의 인수분해 유형별 정리 (2) | 2025.02.02 |
| 공통수학 1 - 1 - 15. 항등식과 나머지 정리 RPM 주요 문제 풀이 2 (3) | 2025.01.29 |
| 공통수학 1 - 1 - 14. 항등식과 나머지 정리 RPM 주요 문제 풀이 (4) | 2025.01.27 |
| 공통수학 1 - 1 - 13. 항등식과 나머지 정리 - 연습문제 풀이 빈출 유형 개념정리 (2) | 2025.01.24 |